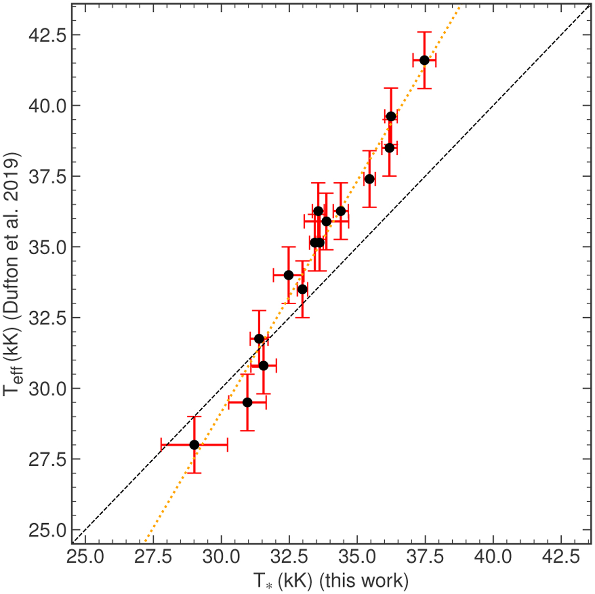
Fig. 6

Download original image
Comparison of fitted temperature found via the Bayesian statistic technique used in this work to that found by Dufton et al. (2019) fitting to TLUSTY grid models. The stars shown are limited to those in the overlap between the two samples. The black dashed line shows a gradient of one, where the two methods would have complete agreement. The orange dashed line shows the best-fit line between T* of the two samples.
Current usage metrics show cumulative count of Article Views (full-text article views including HTML views, PDF and ePub downloads, according to the available data) and Abstracts Views on Vision4Press platform.
Data correspond to usage on the plateform after 2015. The current usage metrics is available 48-96 hours after online publication and is updated daily on week days.
Initial download of the metrics may take a while.