Open Access

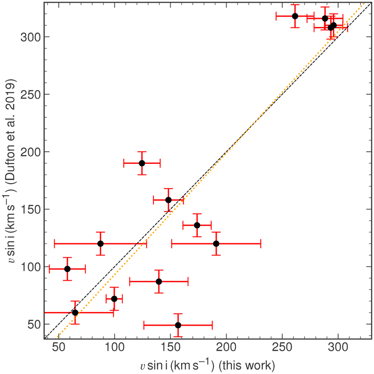
Fig. 9

image

Download original image

Comparison of the projected rotational velocity as found from the Bayesian statistic technique used in this work on H and He lines along with that found by Dufton et al. (2019) using the goodness of fit method to Mg and Si. Stars shown are limited to those in the overlap between the two samples. The dashed line colours are the same as in Fig. 6.

Current usage metrics show cumulative count of Article Views (full-text article views including HTML views, PDF and ePub downloads, according to the available data) and Abstracts Views on Vision4Press platform.

Data correspond to usage on the plateform after 2015. The current usage metrics is available 48-96 hours after online publication and is updated daily on week days.

Initial download of the metrics may take a while.