Fig. 2.

Download original image
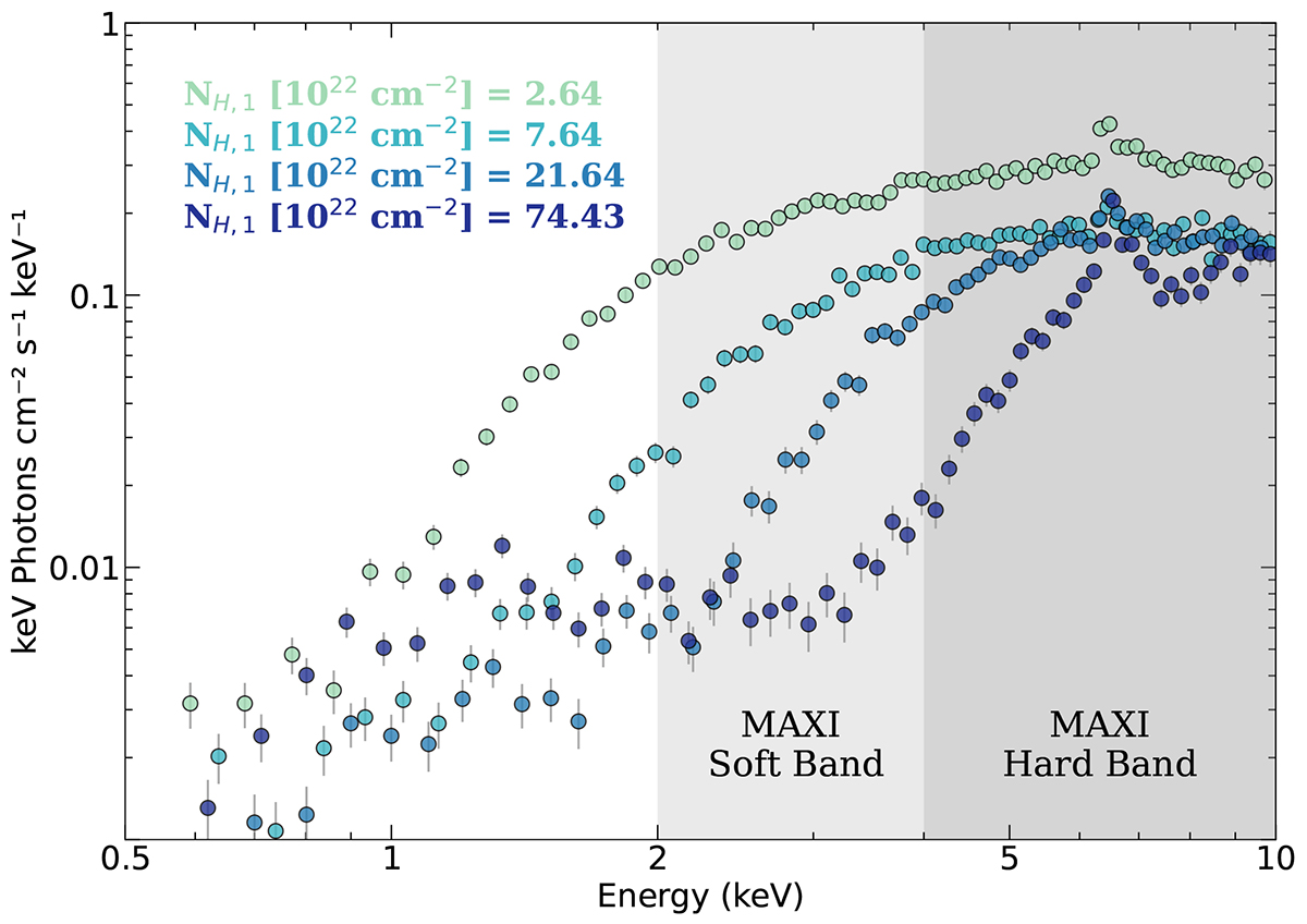
Four unfolded spectra of Vela X-1 from XMM-Newton observation (2019) taken with EPIC-pn. Each spectrum is ∼283 s and corresponds to a different absorption column density value, from low NH (light green) to high NH (dark blue). The observation covers the 0.37−0.51 orbital phase range (Diez et al. 2023). The shaded zones cover the MAXI/GSC energy bands chosen for our analysis (2−4 keV and 4−10 keV).
Current usage metrics show cumulative count of Article Views (full-text article views including HTML views, PDF and ePub downloads, according to the available data) and Abstracts Views on Vision4Press platform.
Data correspond to usage on the plateform after 2015. The current usage metrics is available 48-96 hours after online publication and is updated daily on week days.
Initial download of the metrics may take a while.