Fig. 7

Download original image
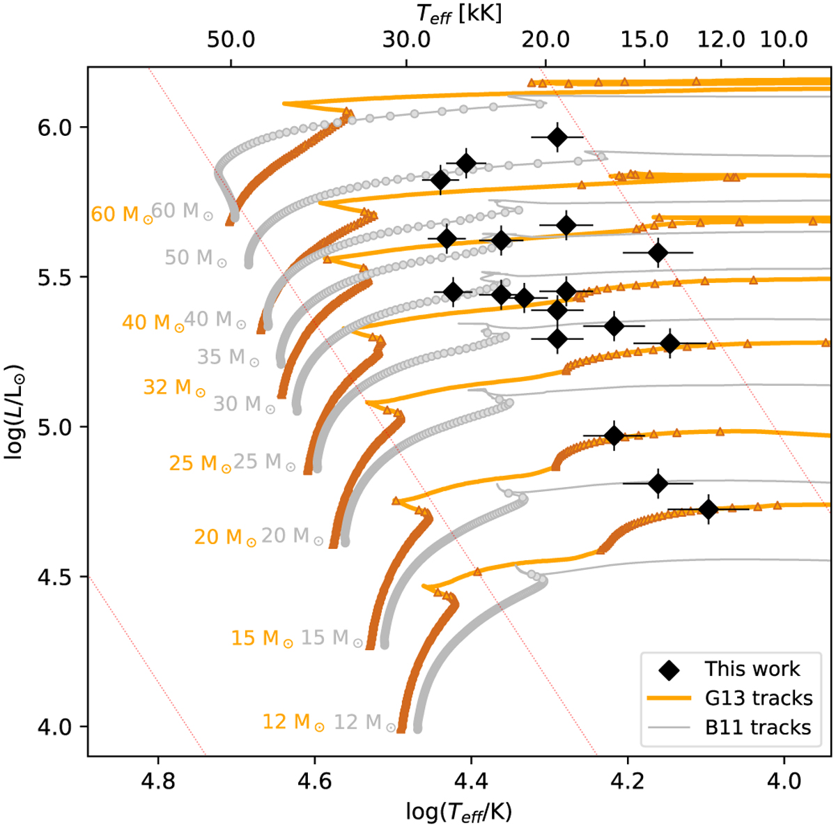
HR diagram of the sample stars (HRD). Tracks of Georgy et al. (2013) (G13, thick orange lines) and Brott et al. (2011) (B11, thin gray lines) with initial rotation of veq/vcrit ~ 0.4 (i.e., ~300 km s−1). The small triangular and circular points on the tracks mark intervals of about 50 kyr for G 13 and B 11 respectively, and the red diagonal lines represent the iso-radii lines (1, 10, and 100, R⊙ from left to right).
Current usage metrics show cumulative count of Article Views (full-text article views including HTML views, PDF and ePub downloads, according to the available data) and Abstracts Views on Vision4Press platform.
Data correspond to usage on the plateform after 2015. The current usage metrics is available 48-96 hours after online publication and is updated daily on week days.
Initial download of the metrics may take a while.