Open Access

Fig. 12.

image

Download original image

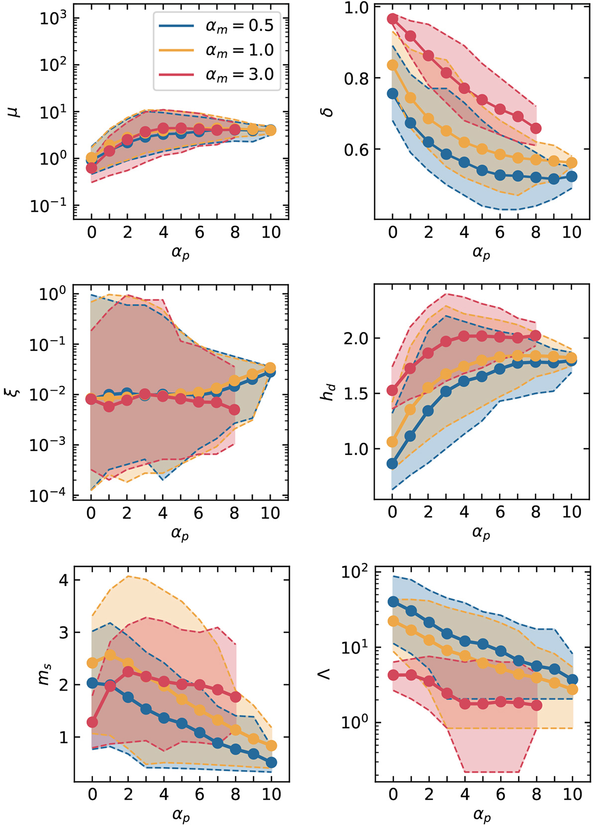
Influence of αP on the super-SM JED parameter space for various magnetic diffusivity levels αm and (ϵ = 0.1, 𝒫m = χm = 1): disk magnetization μ, deviation to Keplerian rotation δ, disk ejection efficiency ξ, thickness expansion hd = zid/h, accretion sonic Mach number ms, and laminar (jets) to turbulent (viscous) torque ratio Λ. Colored areas correspond to regions accessible by super-SM solutions with different magnetic diffusivity levels: αm = 0.5 (blue), αm = 1 (yellow), αm = 3 (red). The corresponding curves represent the average solution for a given αP.

Current usage metrics show cumulative count of Article Views (full-text article views including HTML views, PDF and ePub downloads, according to the available data) and Abstracts Views on Vision4Press platform.

Data correspond to usage on the plateform after 2015. The current usage metrics is available 48-96 hours after online publication and is updated daily on week days.

Initial download of the metrics may take a while.