Fig. 3.

Download original image
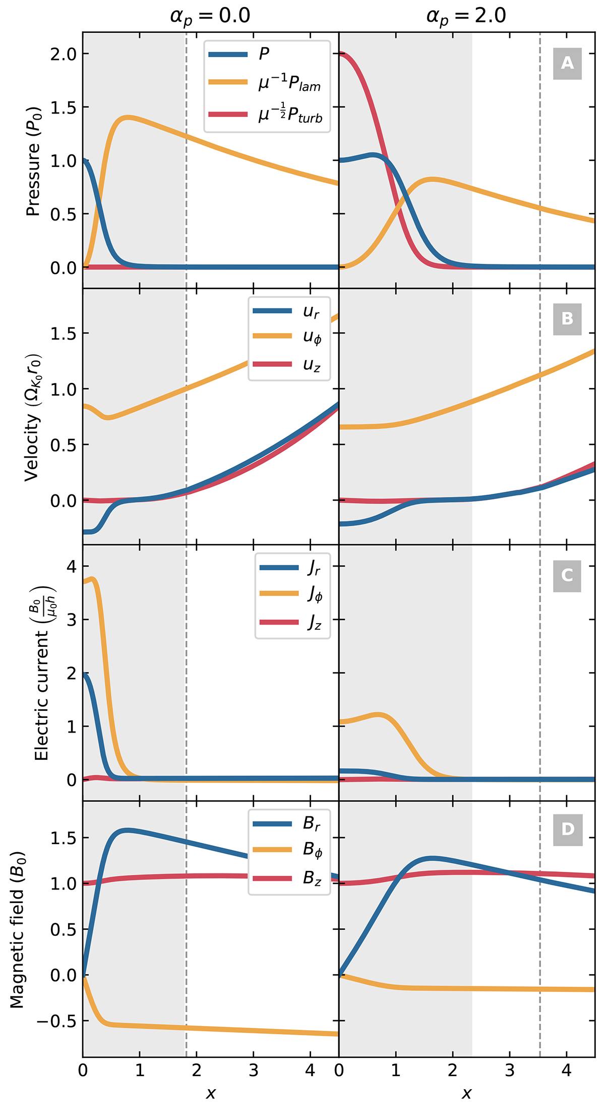
Vertical profiles along x = z/h of the two super-SM solutions shown in Fig. 2, without (left) and with (right) turbulent magnetic pressure. From top to bottom: gas P, laminar horizontal Plam = (Br2 + Bϕ2)/2μo and turbulent Pturb magnetic pressures; velocity components ui (normalized to Keplerian speed ΩK0r0); electric current densities Ji (normalized to Bzo/μoh); laminar magnetic field components Bi (normalized to Bzo). The light gray area corresponds to the resistive MHD region and the vertical line corresponds to the position of the SM point. Note that αP = 0 requires μ = 0.6, while αP = 2 requires μ = 3.9. See text for more details.
Current usage metrics show cumulative count of Article Views (full-text article views including HTML views, PDF and ePub downloads, according to the available data) and Abstracts Views on Vision4Press platform.
Data correspond to usage on the plateform after 2015. The current usage metrics is available 48-96 hours after online publication and is updated daily on week days.
Initial download of the metrics may take a while.