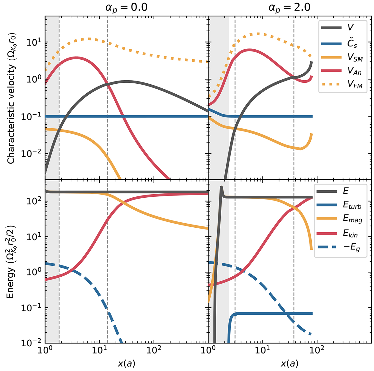
Fig. 6.

Download original image
Vertical profiles along x = z/h(a) of the two super-A solutions shown in Fig. 5, without (left) and with (right) turbulent magnetic pressure. Top: characteristic velocities normalized to the Keplerian velocity at the disk midplane (flow speed V, modified sound speed , slow and fast magnetosonic speeds VSM, VFM and Alfvén speed VAn). Bottom: contributions to the Bernoulli invariant E normalized to ΩKo2ro2/2. The light gray area corresponds to the resistive MHD region and the vertical lines corresponds to the position of the SM and A point respectively. See text for details.
Current usage metrics show cumulative count of Article Views (full-text article views including HTML views, PDF and ePub downloads, according to the available data) and Abstracts Views on Vision4Press platform.
Data correspond to usage on the plateform after 2015. The current usage metrics is available 48-96 hours after online publication and is updated daily on week days.
Initial download of the metrics may take a while.