Open Access

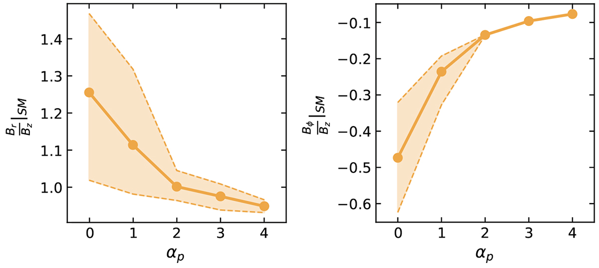
Fig. 9.

image

Download original image

Influence of αP on the laminar magnetic field components at the SM critical point for super-A solutions obtained with our fiducial parameter set. Left: ratio Br/Bz showing the bending. Right: ratio Bϕ/Bz showing the magnetic shear. Colored areas correspond to regions accessible by super-A solutions. The curves represent the mean solution for a given αP.

Current usage metrics show cumulative count of Article Views (full-text article views including HTML views, PDF and ePub downloads, according to the available data) and Abstracts Views on Vision4Press platform.

Data correspond to usage on the plateform after 2015. The current usage metrics is available 48-96 hours after online publication and is updated daily on week days.

Initial download of the metrics may take a while.