Fig. 3.

Download original image
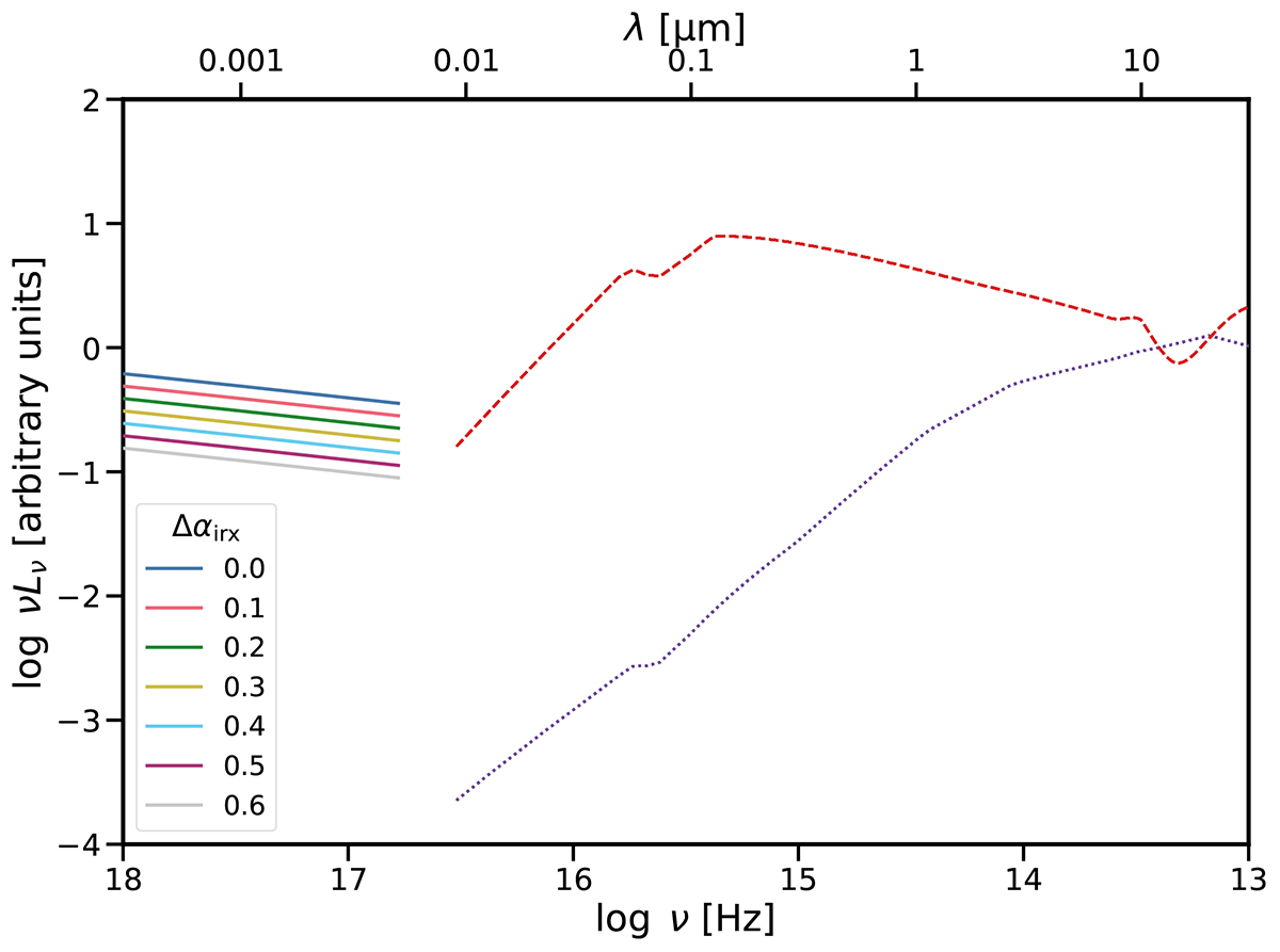
Spectral energy distribution of two AGN for different αIRX normalized at 12 microns. The blue dotted and red dashed lines represent the UV-to-IR SED using δAGN = 0 and 1, respectively. The solid lines are the X-ray SED, with different colors indicating different αIRX and a fixed power-law index. Similarly to Yang et al. (2020), the ‘breaks’ between the two models are caused by the wavelength limit of the X-ray module, however, X-ray/UV observations are limited in these wavelengths.
Current usage metrics show cumulative count of Article Views (full-text article views including HTML views, PDF and ePub downloads, according to the available data) and Abstracts Views on Vision4Press platform.
Data correspond to usage on the plateform after 2015. The current usage metrics is available 48-96 hours after online publication and is updated daily on week days.
Initial download of the metrics may take a while.