Open Access

Fig. 6

image

Download original image

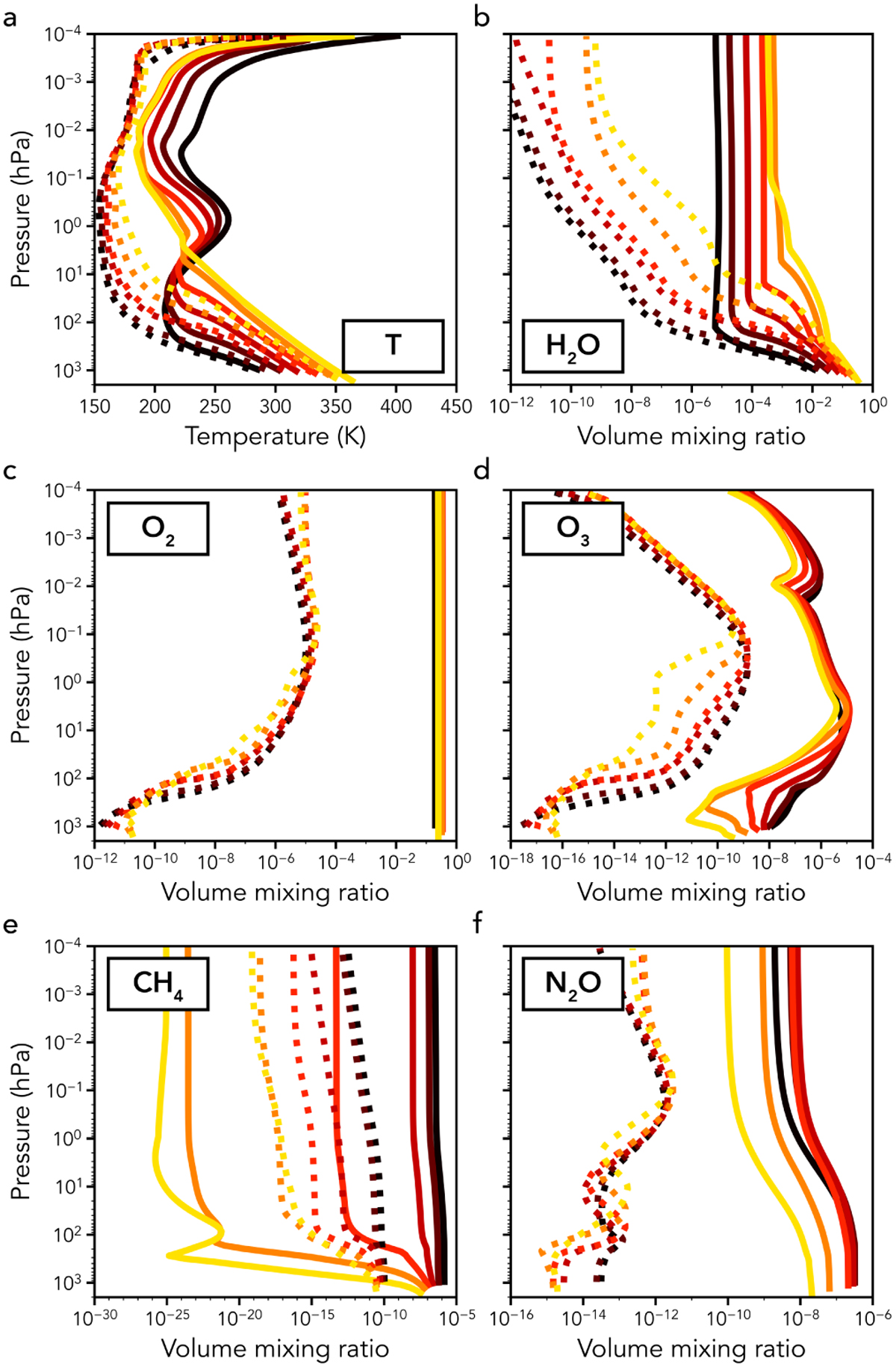
Profiles produced by 1D-TERRA for planets with (solid lines) and without (dashed lines) Earth’s biomass emissions at the surface. The dashed lines represent the abiotic runs. Line colours have the same meanings as in Figs. 15 and denote the increasing solar instellation.

Current usage metrics show cumulative count of Article Views (full-text article views including HTML views, PDF and ePub downloads, according to the available data) and Abstracts Views on Vision4Press platform.

Data correspond to usage on the plateform after 2015. The current usage metrics is available 48-96 hours after online publication and is updated daily on week days.

Initial download of the metrics may take a while.