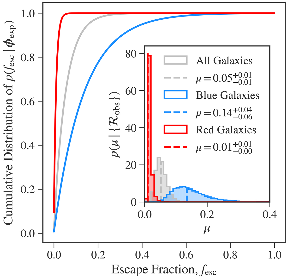
Fig. 9.

Download original image
Cumulative distribution of the escape fraction as parametrised by the exponential scale parameter, ϕexp = μ, inferred for, respectively, the full sample (grey), the galaxy subsample with lowest UV slopes (blue), and the subsample with highest UV slopes (red). The inset shows the corresponding inferred posterior distribution, where the dashed line marks the mode of the distribution.
Current usage metrics show cumulative count of Article Views (full-text article views including HTML views, PDF and ePub downloads, according to the available data) and Abstracts Views on Vision4Press platform.
Data correspond to usage on the plateform after 2015. The current usage metrics is available 48-96 hours after online publication and is updated daily on week days.
Initial download of the metrics may take a while.