Fig. A.1

Download original image
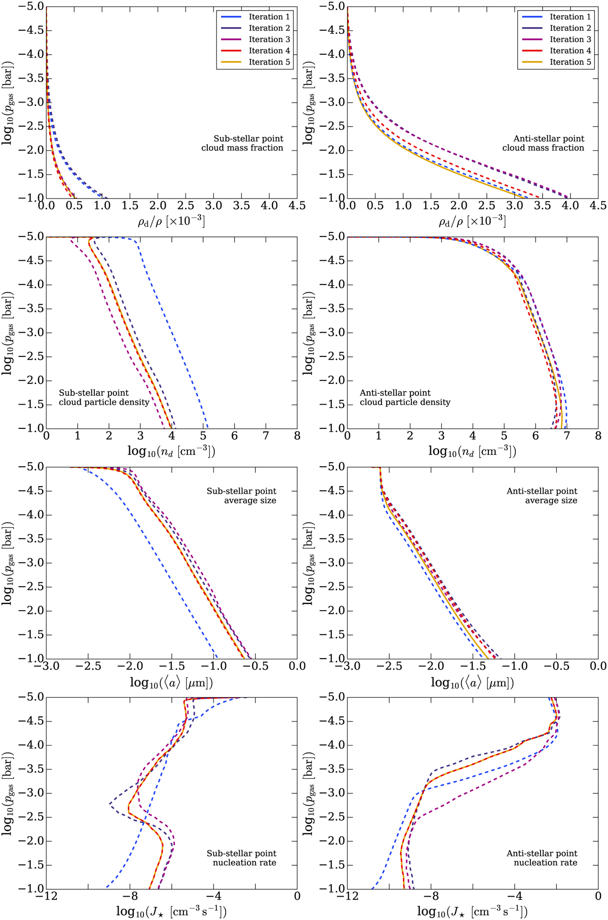
Cloud particle properties of the step-wise iterated cloud structure for the warm Saturn example HATS-6b. Iteration 5 is shown as a solid line to highlight the final result. Left: sub-stellar point. Right: anti-stellar point. Top: cloud mass fraction ρd/ρ. Upper middle: cloud particle number density nd. Lower middle: average cloud particle size ⟨a⟩. Bottom: Nucleation rate J⋆. The morning and evening terminator can be found in Fig 5.
Current usage metrics show cumulative count of Article Views (full-text article views including HTML views, PDF and ePub downloads, according to the available data) and Abstracts Views on Vision4Press platform.
Data correspond to usage on the plateform after 2015. The current usage metrics is available 48-96 hours after online publication and is updated daily on week days.
Initial download of the metrics may take a while.