Open Access
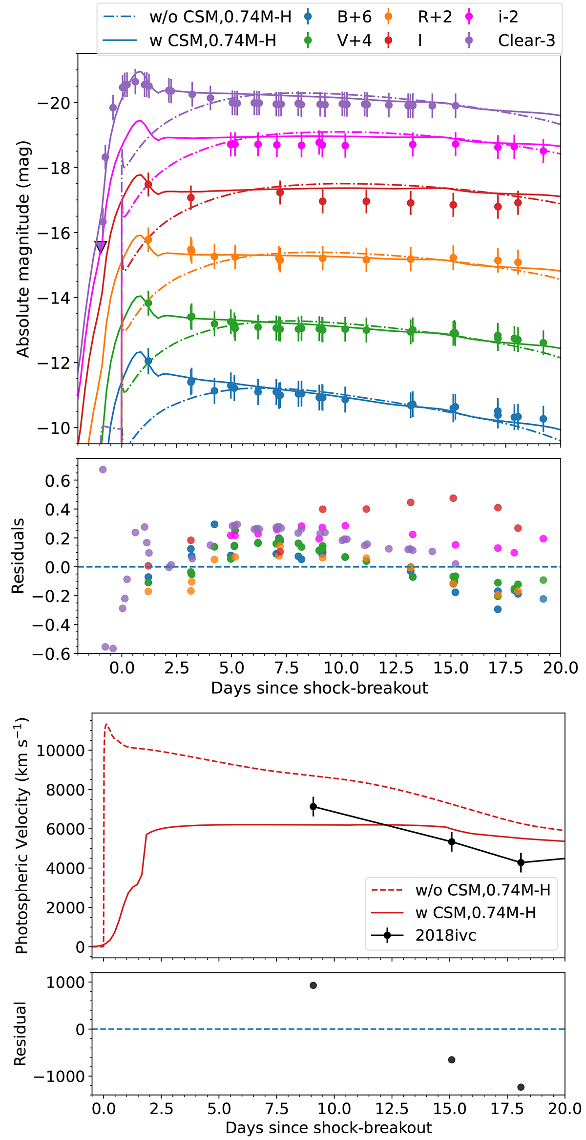
Fig. 19.

Download original image
First 20 days of the BVRIi and Clear band model light curves corresponding to the ‘stripped_6M’ model along with the observed multi-band light curves of SN 2018ivc (top). Photospheric velocity evolution corresponding to these models along with the observed photospheric velocity (bottom).
Current usage metrics show cumulative count of Article Views (full-text article views including HTML views, PDF and ePub downloads, according to the available data) and Abstracts Views on Vision4Press platform.
Data correspond to usage on the plateform after 2015. The current usage metrics is available 48-96 hours after online publication and is updated daily on week days.
Initial download of the metrics may take a while.