Fig. 22.

Download original image
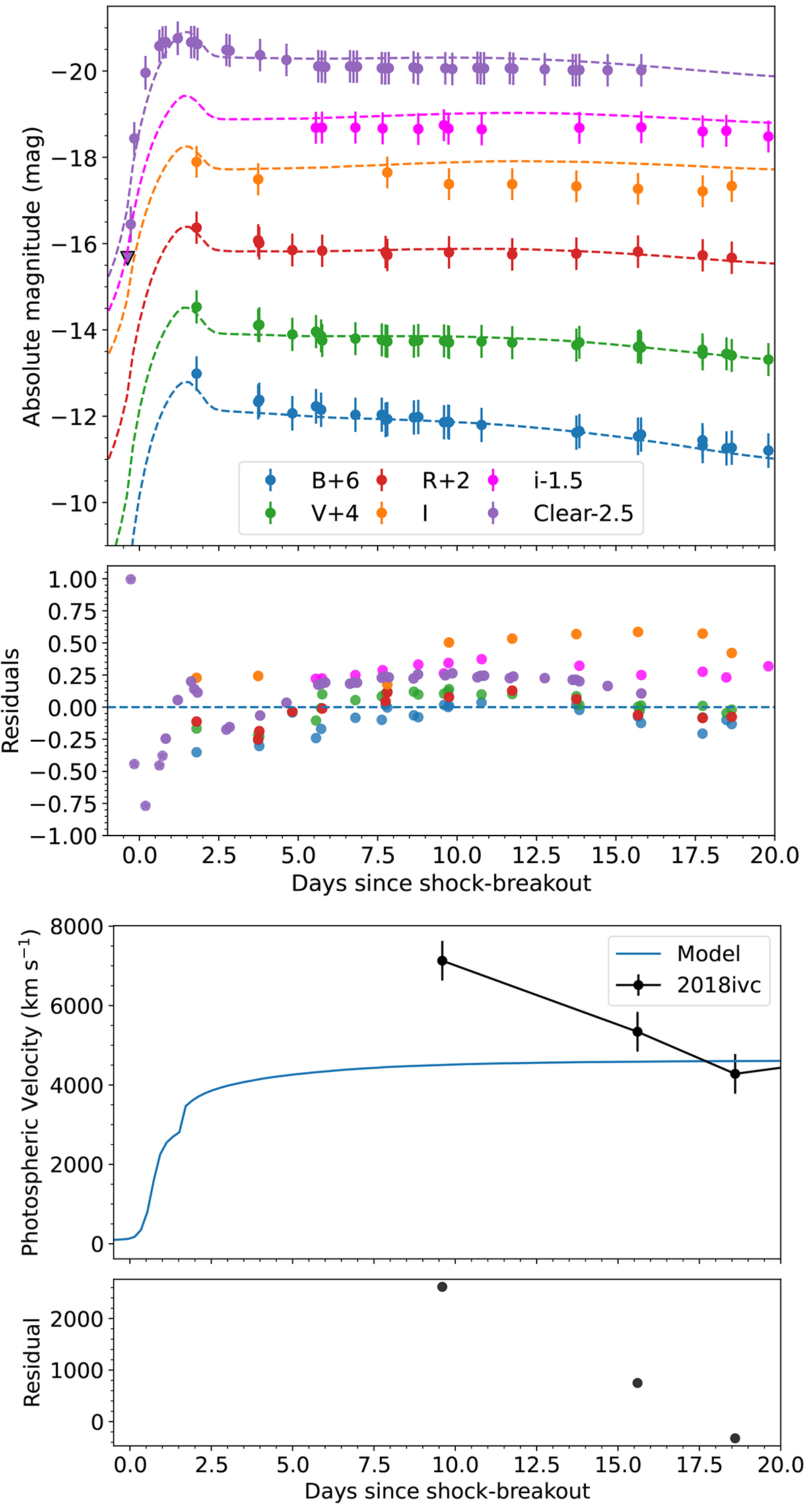
Best fit model with the addition of CSM. The top panel features the best fit model of the first 20 days of BVRIi and Clear light curves of SN 2018ivc along with the observed multi-band light curves. The bottom panel shows the photospheric velocity evolution corresponding to the best fit model along with the observed photospheric velocity.
Current usage metrics show cumulative count of Article Views (full-text article views including HTML views, PDF and ePub downloads, according to the available data) and Abstracts Views on Vision4Press platform.
Data correspond to usage on the plateform after 2015. The current usage metrics is available 48-96 hours after online publication and is updated daily on week days.
Initial download of the metrics may take a while.