Fig. 8.

Download original image
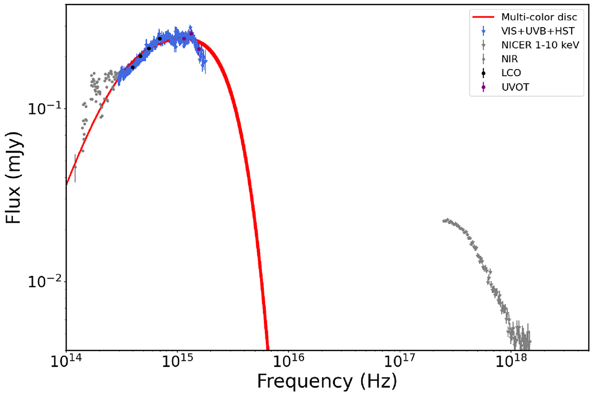
Spectral Energy distribution for SAX J1808 at the end of the 2019 outburst. VIS-UVB data were taken with X-shooter (MJD 58726.0093), UV data with HST (MJD 58723.9076), and X-ray data with NICER (MJD 58726.2718). Calibration points were retrieved with LCO (MJD 58726.1509) and Swift-UVOT (MJD 58725.0738). The red solid line shows our MCMC fit to UV-optical data.
Current usage metrics show cumulative count of Article Views (full-text article views including HTML views, PDF and ePub downloads, according to the available data) and Abstracts Views on Vision4Press platform.
Data correspond to usage on the plateform after 2015. The current usage metrics is available 48-96 hours after online publication and is updated daily on week days.
Initial download of the metrics may take a while.