Open Access
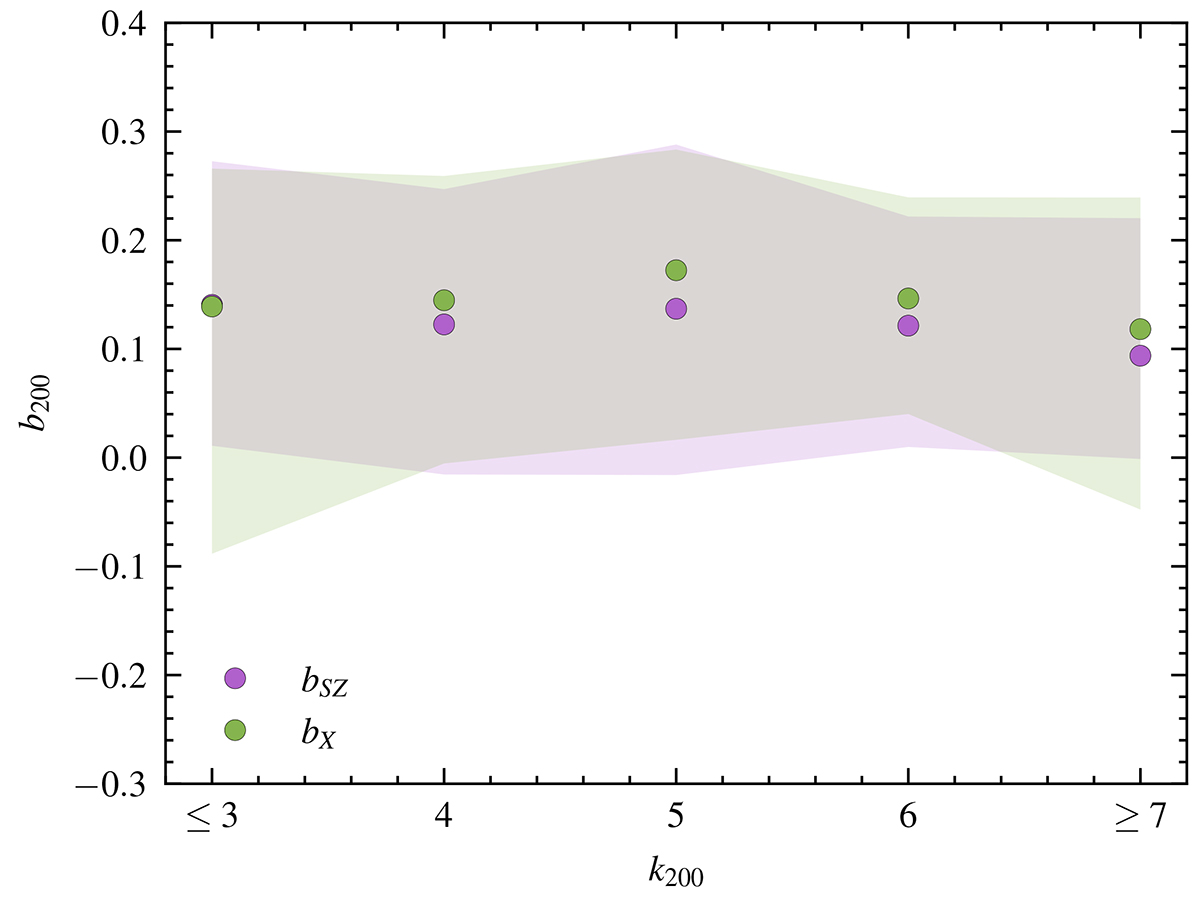
Fig. 10.

Download original image
Connectivity and hydrostatic mass bias relation at redshift z = 0. In green are shown the mass bias median values, bX, at R200 and in violet the mass bias median values, bSZ, at R200. The shaded areas represent the 16th and 84th percentiles.
Current usage metrics show cumulative count of Article Views (full-text article views including HTML views, PDF and ePub downloads, according to the available data) and Abstracts Views on Vision4Press platform.
Data correspond to usage on the plateform after 2015. The current usage metrics is available 48-96 hours after online publication and is updated daily on week days.
Initial download of the metrics may take a while.