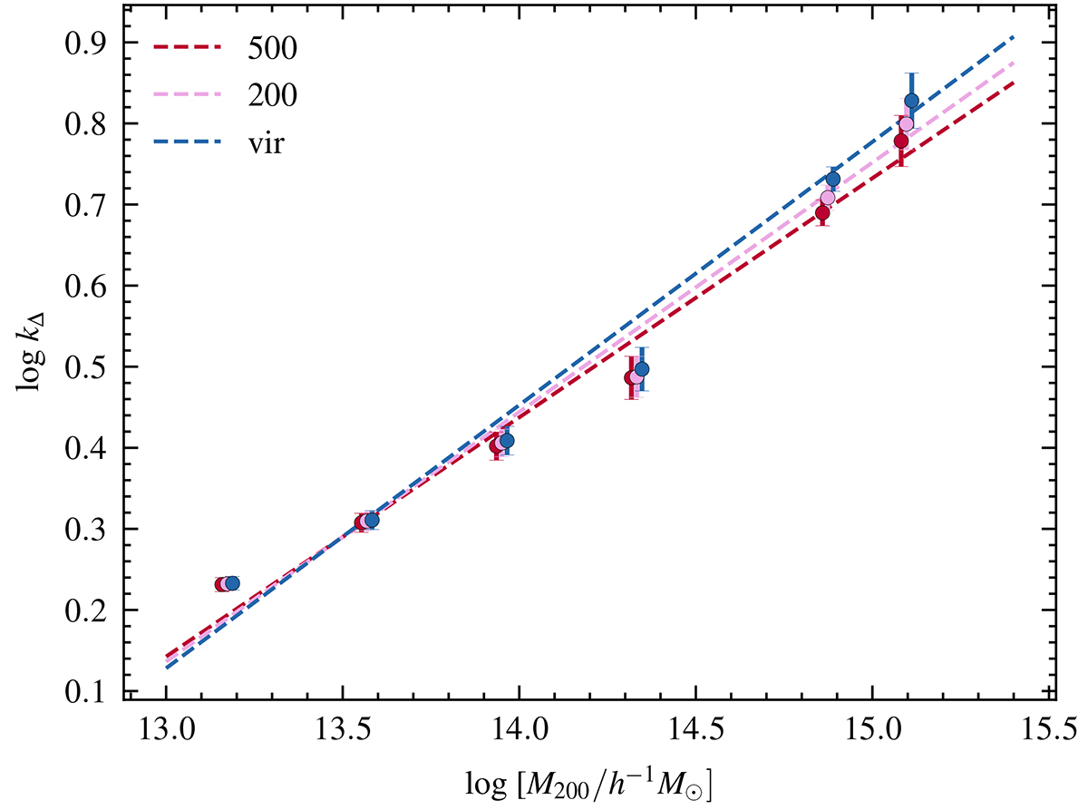
Fig. 5.

Download original image
Mean connectivity of THE THREE HUNDRED groups and clusters at z = 0 as a function of the mass, M200. The connectivity was estimated at different over-densities: respectively, k500 in red, k200 in pink, and kvir in blue. The dashed lines represent the linear fittings. The error bars are the errors on the mean values, computed with the bootstrap method, multiplied by two for visual clarity. The mean values have been shifted in mass for visual clarity.
Current usage metrics show cumulative count of Article Views (full-text article views including HTML views, PDF and ePub downloads, according to the available data) and Abstracts Views on Vision4Press platform.
Data correspond to usage on the plateform after 2015. The current usage metrics is available 48-96 hours after online publication and is updated daily on week days.
Initial download of the metrics may take a while.