Open Access
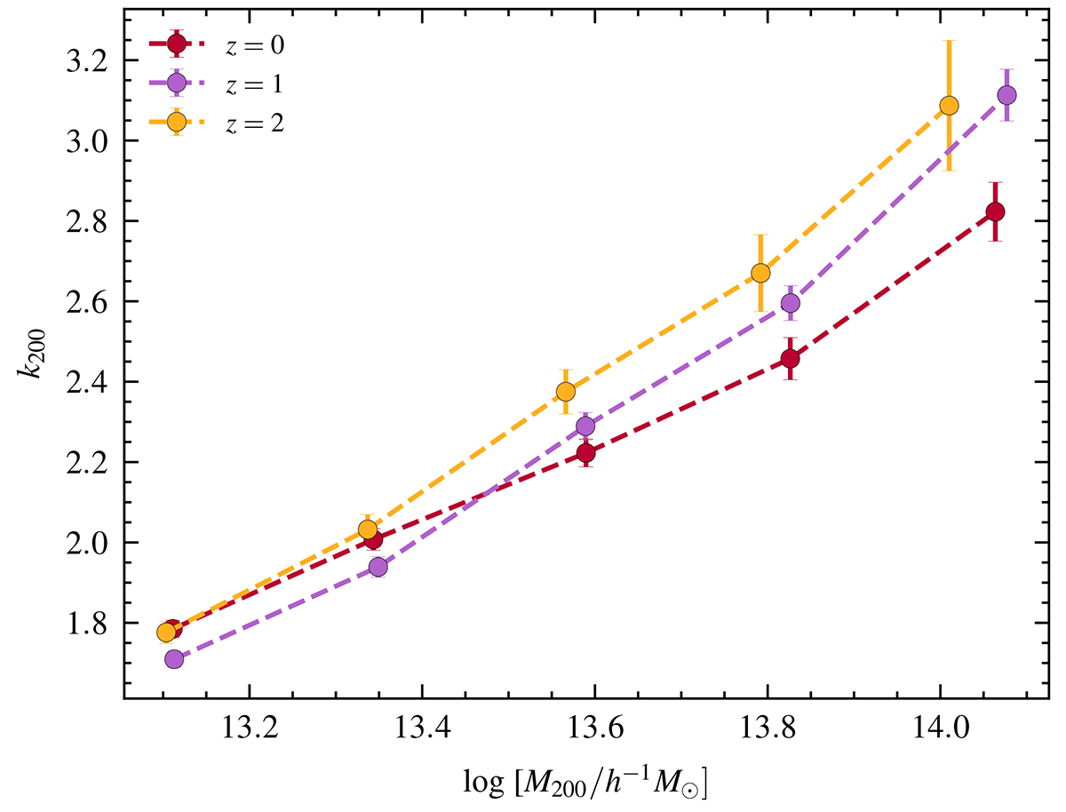
Fig. 7.

Download original image
Evolution with redshift of the connectivity-mass relation. In yellow are shown the mean values of connectivity. k200, extracted from the gas skeleton at z = 2, in purple the values at z = 1, and in red the values at z = 0. The error bars represent the errors on the mean, computed with the bootstrap method.
Current usage metrics show cumulative count of Article Views (full-text article views including HTML views, PDF and ePub downloads, according to the available data) and Abstracts Views on Vision4Press platform.
Data correspond to usage on the plateform after 2015. The current usage metrics is available 48-96 hours after online publication and is updated daily on week days.
Initial download of the metrics may take a while.