Fig. 2

Download original image
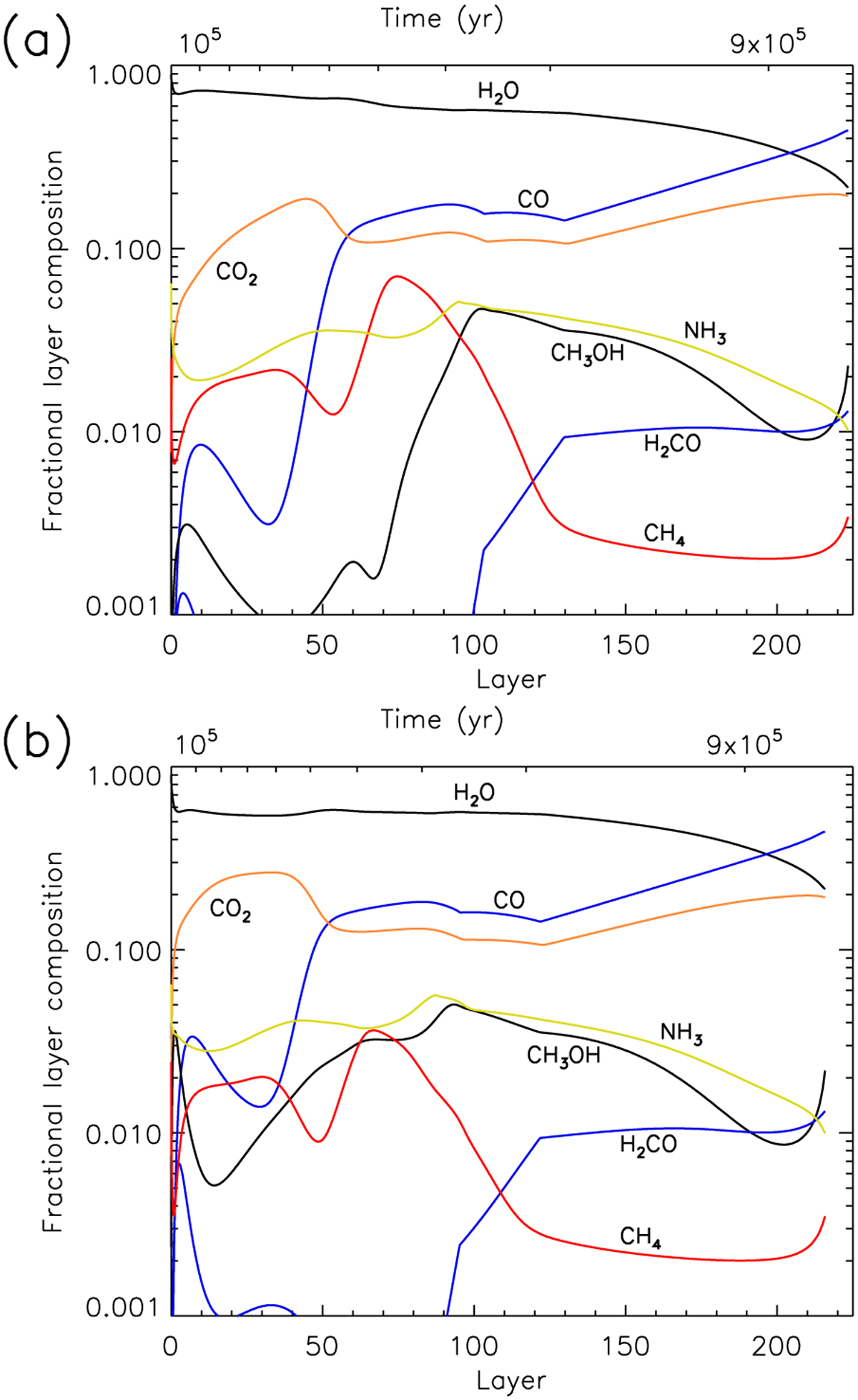
Fractional compositions of the main components of the ice as a function of the ice layer, in the regular model (panel a) and in the model including the C + H2O reaction (panel b). Each layer composition is determined at the moment of incorporation into the bulk ice, indicated by the top axis. The deepest ice layers are on the left, and layers closest to the ice surface are on the right.
Current usage metrics show cumulative count of Article Views (full-text article views including HTML views, PDF and ePub downloads, according to the available data) and Abstracts Views on Vision4Press platform.
Data correspond to usage on the plateform after 2015. The current usage metrics is available 48-96 hours after online publication and is updated daily on week days.
Initial download of the metrics may take a while.