Open Access
Fig. 18

Download original image
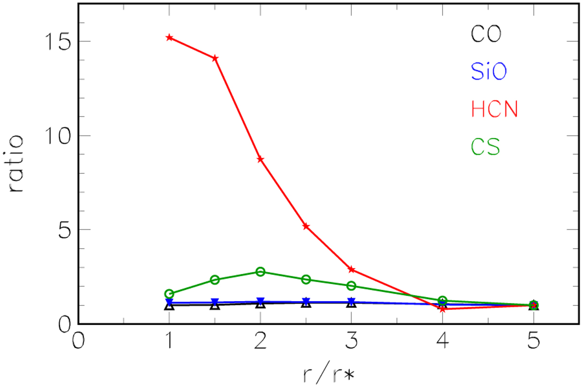
Radial dependence of the molecular abundances normalized to their values at r=5 stellar radii (r*) of H 12CN (red), SiO and CO (black and blue) and CS (green) molecules, as predicted by a model of a C/O = 0.95 star hit by a shock of 25 km s−1 formed at one stellar radius (Cherchneff 2006).
Current usage metrics show cumulative count of Article Views (full-text article views including HTML views, PDF and ePub downloads, according to the available data) and Abstracts Views on Vision4Press platform.
Data correspond to usage on the plateform after 2015. The current usage metrics is available 48-96 hours after online publication and is updated daily on week days.
Initial download of the metrics may take a while.