Fig. 2.

Download original image
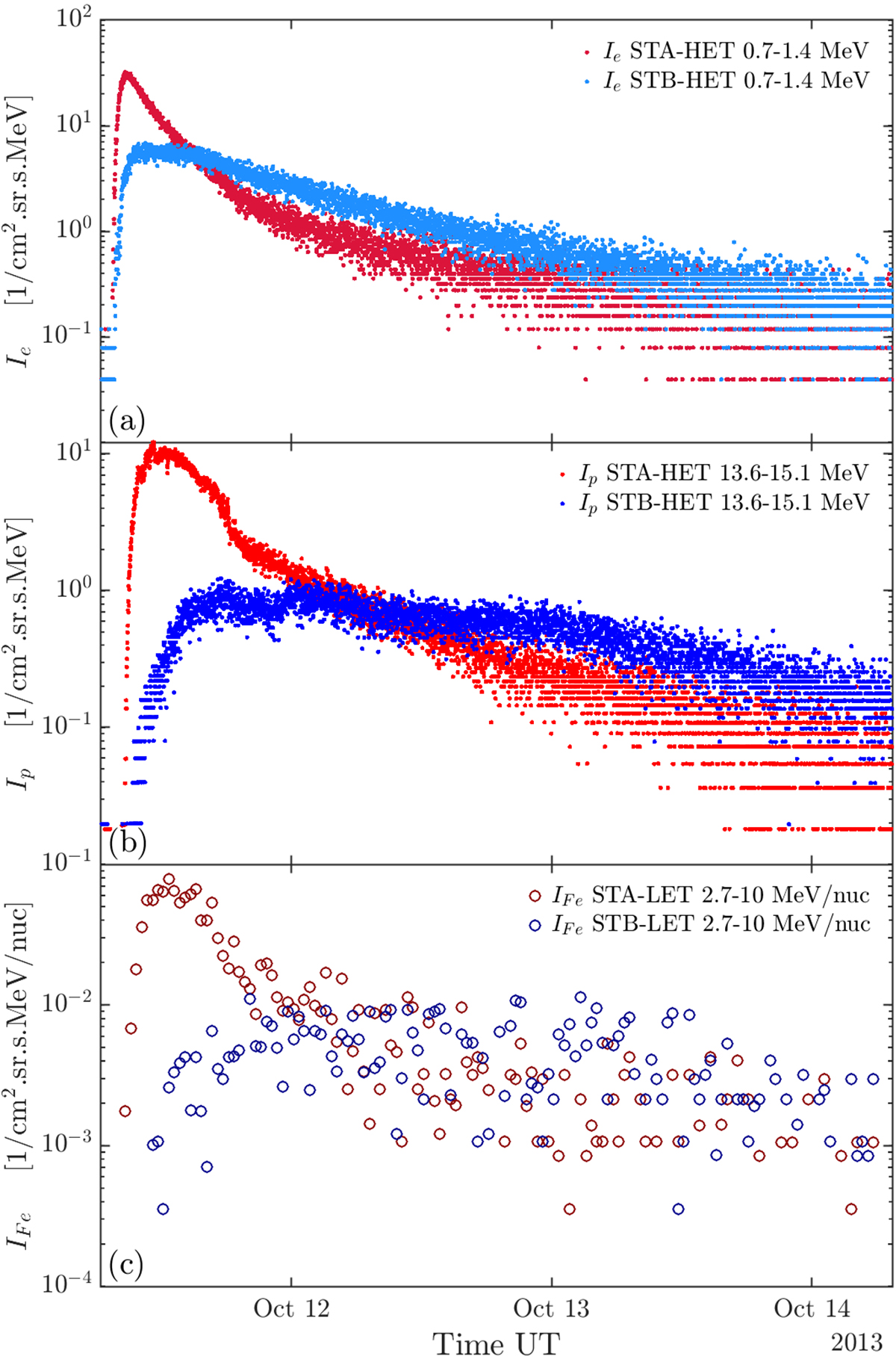
SEPs intensities as a function of time. Panels (a) and (b): Energetic electron (panel a) and proton (panel b) measurements from the HET detector on board STEREO-A (STA; red markers) and STEREO-B (STB; blue markers) from the 0.7–1.4 MeV energy channel for electrons and 13.6–15.1 MeV for protons. Panel (c): Energetic iron measurements (30 min-averaged) from the LET detector on board STA and STB (respectively in dark red and dark blue) from the 2.7–10 MeV energy channel.
Current usage metrics show cumulative count of Article Views (full-text article views including HTML views, PDF and ePub downloads, according to the available data) and Abstracts Views on Vision4Press platform.
Data correspond to usage on the plateform after 2015. The current usage metrics is available 48-96 hours after online publication and is updated daily on week days.
Initial download of the metrics may take a while.