Fig. 13

Download original image
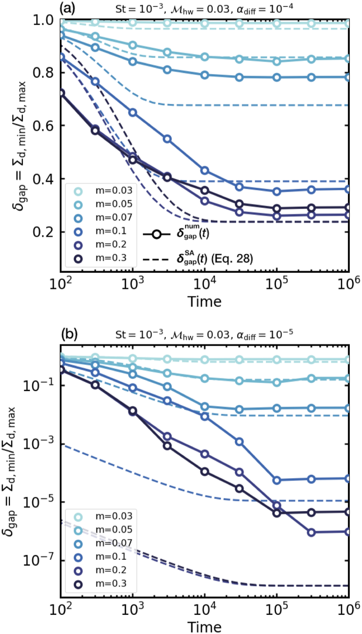
Time evolution of the dust gap depth for different planetary masses. We fixed the Stokes number St = 10–3 and the Mach number ℳhw = 0.03, and set αdiff = 10–4 in panel a and αdiff = 10–5 in panel b. The solid lines with the circle symbols and the dashed lines are the numerically calculated and the semi-analytic dust gap depths, respectively (Eq. (28); Sect. 4.4).
Current usage metrics show cumulative count of Article Views (full-text article views including HTML views, PDF and ePub downloads, according to the available data) and Abstracts Views on Vision4Press platform.
Data correspond to usage on the plateform after 2015. The current usage metrics is available 48-96 hours after online publication and is updated daily on week days.
Initial download of the metrics may take a while.