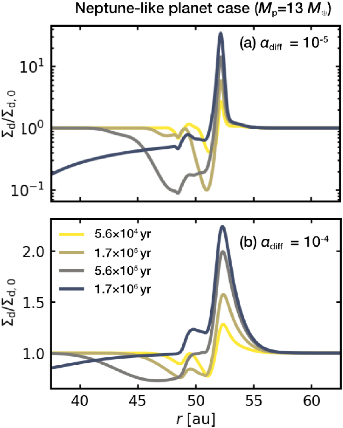
Fig. 18

Download original image
Time-dependent dust surface density with particle sizes of s = 0.23 mm for a Neptune-like planet (Mp = 13 M⊗) at 50 au. The numerical simulations were conducted in dimensionless units. We set m = 0.1, ℳhw = 0.1, St = 3 × 10–3, and varied the turbulent parameter in each panel, αdiff = 10–5 (panel a) and αdiff = 10–4 (panel b). For the assumed parameter set, the pebble isolation masses are given by Miso = 56 M⊗ (panel a) and 60 Mæ (panel b; Eq. (A.14)).
Current usage metrics show cumulative count of Article Views (full-text article views including HTML views, PDF and ePub downloads, according to the available data) and Abstracts Views on Vision4Press platform.
Data correspond to usage on the plateform after 2015. The current usage metrics is available 48-96 hours after online publication and is updated daily on week days.
Initial download of the metrics may take a while.