Open Access
Fig. 2

Download original image
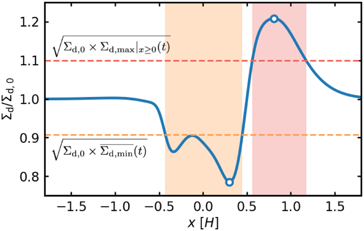
Definition of the widths of the dust ring and gap. The red and yellow shaded regions show the numerically calculated widths of the dust ring and gap. The circles mark Σd,max and Σd,min.
Current usage metrics show cumulative count of Article Views (full-text article views including HTML views, PDF and ePub downloads, according to the available data) and Abstracts Views on Vision4Press platform.
Data correspond to usage on the plateform after 2015. The current usage metrics is available 48-96 hours after online publication and is updated daily on week days.
Initial download of the metrics may take a while.