Open Access
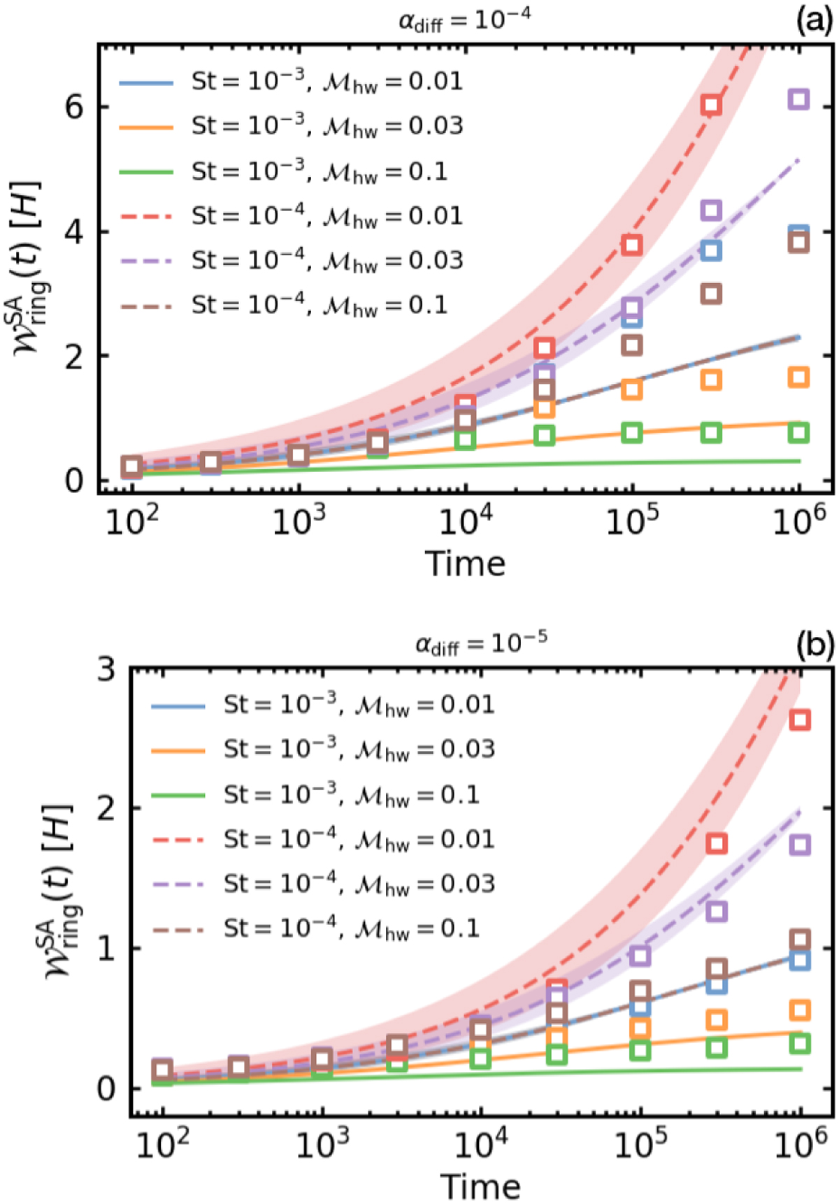
Fig. A.6

Download original image
Time-dependent dust ring width as a function of time. The numerical results for different planetary masses were averaged and plotted with the square symbols. The solid and dashed lines are given by Eq. (B.13). The shaded regions show the uncertainties.
Current usage metrics show cumulative count of Article Views (full-text article views including HTML views, PDF and ePub downloads, according to the available data) and Abstracts Views on Vision4Press platform.
Data correspond to usage on the plateform after 2015. The current usage metrics is available 48-96 hours after online publication and is updated daily on week days.
Initial download of the metrics may take a while.