Open Access

Fig. 2

image

Download original image

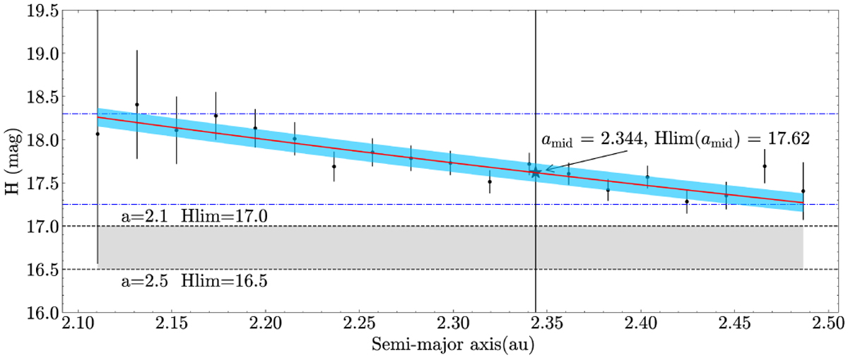
Completeness-limit fitting for AFP dataset. The black dot represent the empirical values Hlim and uncertainties within a fixed semi-major axis interval (Δa = 0.02 au). The value of fitting is in red, while the light blue shading is the confidence interval (1σ). The dashed blue line represents the upper limit Hlim = 18.3 and lower limit Hlim = 17.3 of the fitting. Dermott et al. (2018) also estimated the completeness limit in gray. The black vertical line corresponds to the median semi-major axis (at 2.344 au) of the samples, with a fitting value of 17.62.

Current usage metrics show cumulative count of Article Views (full-text article views including HTML views, PDF and ePub downloads, according to the available data) and Abstracts Views on Vision4Press platform.

Data correspond to usage on the plateform after 2015. The current usage metrics is available 48-96 hours after online publication and is updated daily on week days.

Initial download of the metrics may take a while.