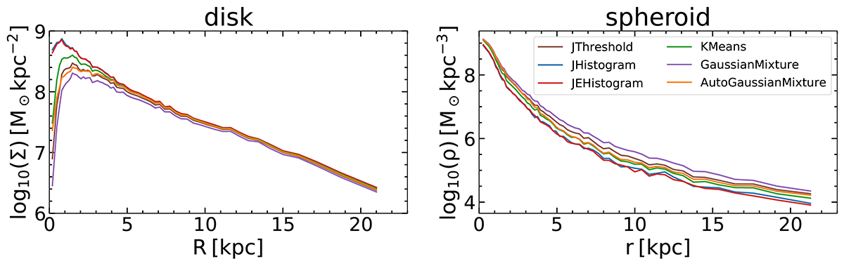
Fig. 12.

Download original image
Surface mass density profiles of the discoidal component of the IllustrisTNG galaxy recovered by the six dynamical decomposition methods as a function of the cylindrical radius R (left panel). Mass density profiles of the spheroidal component of the IllustrisTNG galaxy, recovered by the six dynamical decomposition methods as a function of the 3D radius r (right panel). In all cases, we observed that the largest differences occur in the inner part of the disk.
Current usage metrics show cumulative count of Article Views (full-text article views including HTML views, PDF and ePub downloads, according to the available data) and Abstracts Views on Vision4Press platform.
Data correspond to usage on the plateform after 2015. The current usage metrics is available 48-96 hours after online publication and is updated daily on week days.
Initial download of the metrics may take a while.