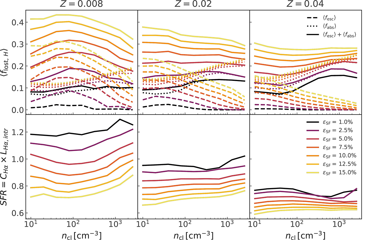
Fig. 12.

Download original image
Fraction of LyC photons that do not participate in the production of Hα at Z = 0.008, 0.02, 0.04 (top) for a population of H II regions generated (as per Sect. 3.3) for the parameters of the TODDLERS models, ϵSF and ncl. The solid line represents the sum of the escape fraction (dashed) and absorption by dust (dotted). Conversion of Hα luminosity to SFR (bottom), using a fixed conversion factor, CHα = 5.5 × 1042, using the same SF region populations and TODDLERS model parameters as the top row.
Current usage metrics show cumulative count of Article Views (full-text article views including HTML views, PDF and ePub downloads, according to the available data) and Abstracts Views on Vision4Press platform.
Data correspond to usage on the plateform after 2015. The current usage metrics is available 48-96 hours after online publication and is updated daily on week days.
Initial download of the metrics may take a while.