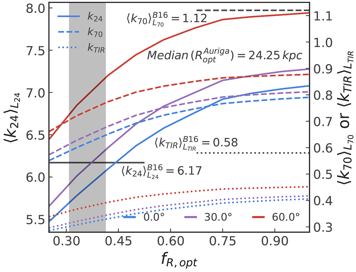
Fig. 6.

Download original image
Mean light-weighted IR correction factors, ⟨kIR⟩IR as a function of the aperture and the inclination using the galaxies in the Auriga-D sample. The aperture is given as a fraction of the optical radius, with the gray region denoting a median aperture of 15−20 kpc of the simulated galaxies. The values from B16 are shown as gray lines.
Current usage metrics show cumulative count of Article Views (full-text article views including HTML views, PDF and ePub downloads, according to the available data) and Abstracts Views on Vision4Press platform.
Data correspond to usage on the plateform after 2015. The current usage metrics is available 48-96 hours after online publication and is updated daily on week days.
Initial download of the metrics may take a while.