Fig. 4.

Download original image
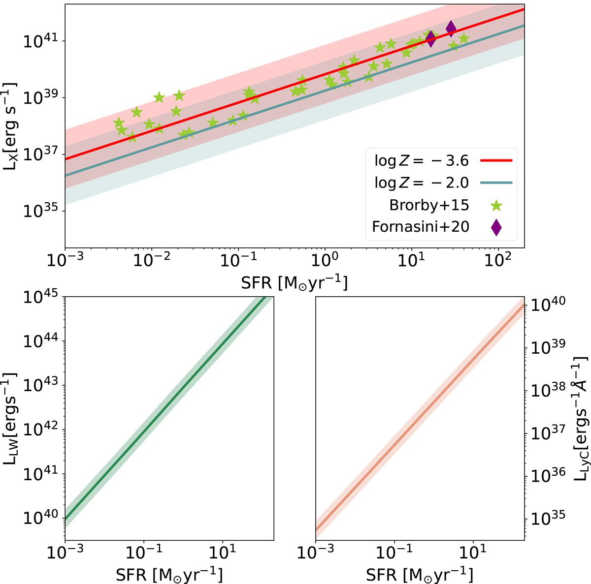
Luminosity scalings used in this work. Upper panel: scaling of soft-band, high-mass X-ray binary luminosity with SFR. Red and blue lines with the corresponding shaded regions represent the mean and 2σ range for metalicities Z = −3.6, −2.0, respectively. Green stars correspond to values from local star forming galaxies, discussed in Brorby et al. (2016). Purple diamonds are redshift-binned stacks from Fornasini et al. (2019) for z = 1.5 and 2.3. Lower panels: SFR scaling of the integrated Lyman-Werner (11.2–13.6 eV) luminosity (left panel) and specific ionizing luminosity at the Lyman-limit (right panel). Shaded regions represent the 2σ scatter around the mean relation. Both panels assume that metallicity follows the mean FMR.
Current usage metrics show cumulative count of Article Views (full-text article views including HTML views, PDF and ePub downloads, according to the available data) and Abstracts Views on Vision4Press platform.
Data correspond to usage on the plateform after 2015. The current usage metrics is available 48-96 hours after online publication and is updated daily on week days.
Initial download of the metrics may take a while.