Open Access

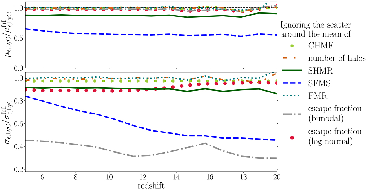
Fig. 6.

image

Download original image

Fractional contribution of different sources of scatter (see legend) to the mean and standard deviation of the ionizing emissivity, computed over Rnl = 5 Mpc volumes. The top (bottom) panel shows the mean (standard deviation) when removing one source of stochasticity, normalized to the fiducial value that includes all scatter.

Current usage metrics show cumulative count of Article Views (full-text article views including HTML views, PDF and ePub downloads, according to the available data) and Abstracts Views on Vision4Press platform.

Data correspond to usage on the plateform after 2015. The current usage metrics is available 48-96 hours after online publication and is updated daily on week days.

Initial download of the metrics may take a while.