Fig. 10

image

Download original image

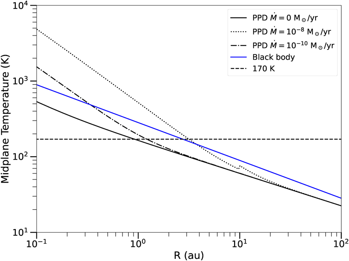
Temperature as a function of radial distance to the star in a proto-planetary disk (black) vs. black body temperature (blue). For the proto-planetary disk case, the different linestyles represent different accretion rates onto the star (0 for the solid line, 10−8 M/yr for the dotted line, and 10−10 M/yr for the dash-dotted line), which corresponds to different timescales (e.g. roughly 1−2 Myr for 10−8 M/yr and later for lower accretion rates). The dashed horizontal line shows a temperature of 170 K, close to the sublimation temperature of water ice. We see that the snowline moves initially inwards when the disk accretion rate gets lower and then outwards when the disk fully dissipates and the temperature of asteroids gets close to a black body temperature.

Current usage metrics show cumulative count of Article Views (full-text article views including HTML views, PDF and ePub downloads, according to the available data) and Abstracts Views on Vision4Press platform.

Data correspond to usage on the plateform after 2015. The current usage metrics is available 48-96 hours after online publication and is updated daily on week days.

Initial download of the metrics may take a while.