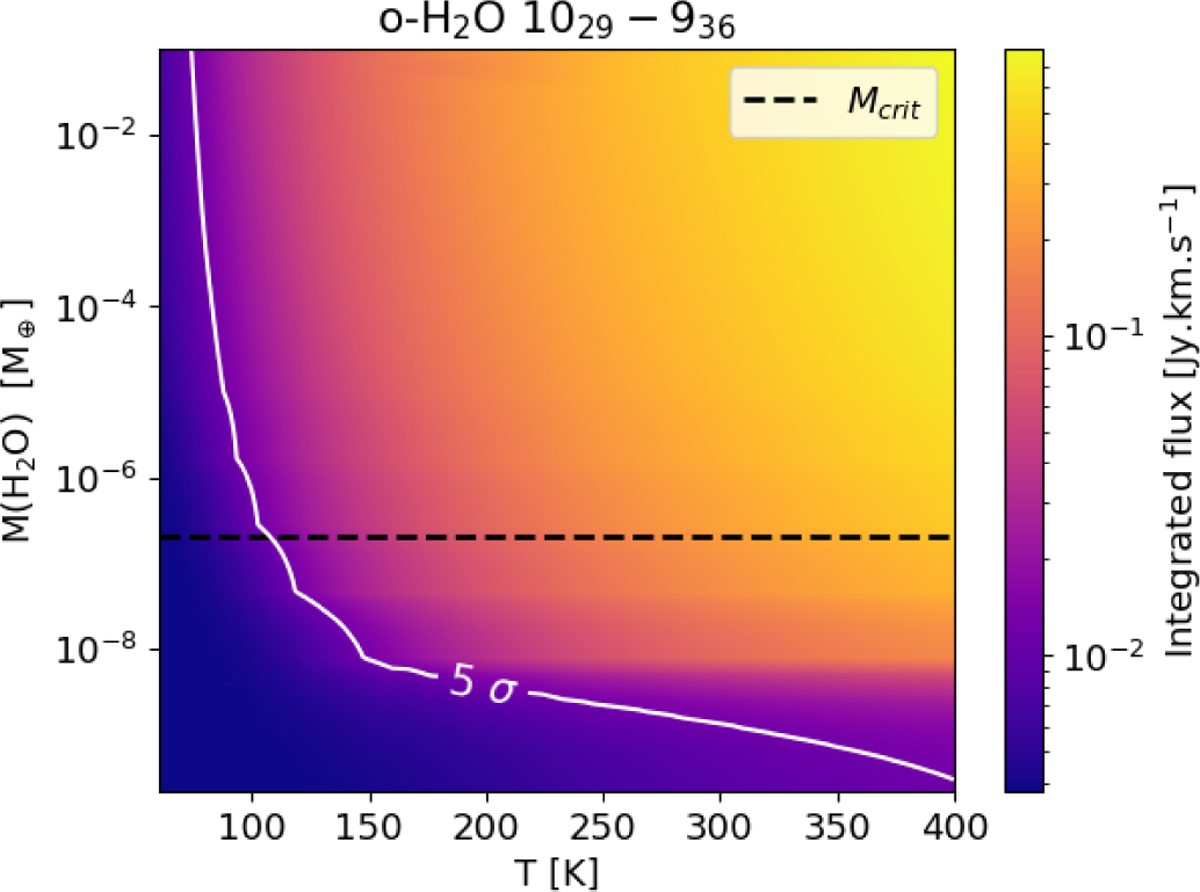
Fig. 11

Download original image
Alma observation predictions to target water in HD 69830 showing the integrated flux in Jy km s−1 for the o-H2O 1029 − 936 transition at 321.22 GHz as a function of the temperature and the quantity of water. The black dashed line indicates the critical mass level when water starts self-shielding. The level at 0.012 Jykm s−1 is for a signal-to-noise ratio of 5 represented by the solid white line labelled 5c. This line is rather sensitive to low amounts of water and may allow for the detection of the first water gas disk in the near future.
Current usage metrics show cumulative count of Article Views (full-text article views including HTML views, PDF and ePub downloads, according to the available data) and Abstracts Views on Vision4Press platform.
Data correspond to usage on the plateform after 2015. The current usage metrics is available 48-96 hours after online publication and is updated daily on week days.
Initial download of the metrics may take a while.