Fig. 8.

Download original image
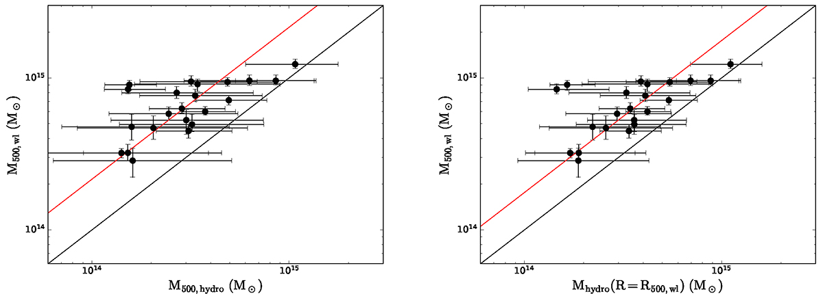
Comparison of masses measured with weak lensing and the hydrostatic approach. Weak lensing inferred masses and radii are from Bulbul et al. (2024). The left panel compares the total masses, M500, independently inferred from these two mass proxies within their own R500 (R500, wl and R500, hydro), while the right panel compares the enclosed masses at the same radii, R500, wl. Red lines indicate the medians: M500, wl is ∼110% higher than M500, hydro, and ∼71% higher than Mhydro(R = R500, wl). Black lines are the lines of unity.
Current usage metrics show cumulative count of Article Views (full-text article views including HTML views, PDF and ePub downloads, according to the available data) and Abstracts Views on Vision4Press platform.
Data correspond to usage on the plateform after 2015. The current usage metrics is available 48-96 hours after online publication and is updated daily on week days.
Initial download of the metrics may take a while.