Open Access
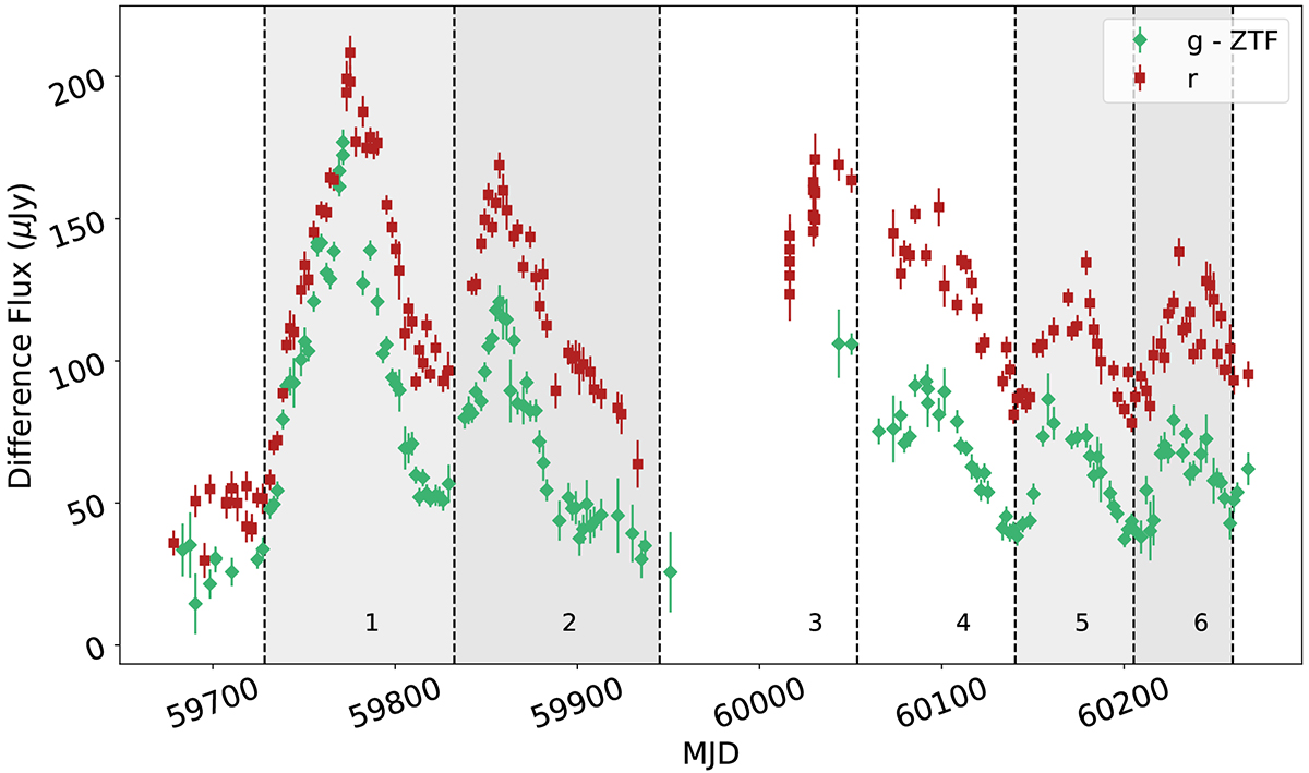
Fig. D.2.

Download original image
Zoom in to the ZTF light curve of AT 2021hdr in the g and r bands. The dashed lines represent the dates that were used to define the individual peaks. The gray background represent the peaks that were used for the analysis of the individual peaks (see text).
Current usage metrics show cumulative count of Article Views (full-text article views including HTML views, PDF and ePub downloads, according to the available data) and Abstracts Views on Vision4Press platform.
Data correspond to usage on the plateform after 2015. The current usage metrics is available 48-96 hours after online publication and is updated daily on week days.
Initial download of the metrics may take a while.