Fig. 3.

Download original image
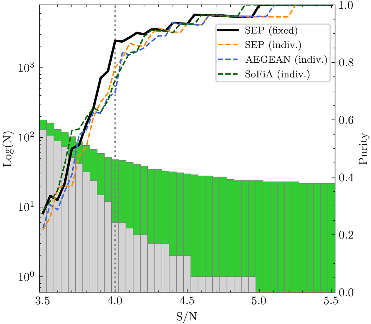
Histograms of positive (green) and negative (gray) detections using the “fixed” method at different signal-to-noise ratio thresholds, with the corresponding purity of the positive detections marked as the black curve. The dashed curves show the purity of the “individual” method with three different codes (yellow for SEP, blue for AEGEAN, green for SOFIA). The vertical dotted line marks the S/N = 4 we adopted for the source extraction.
Current usage metrics show cumulative count of Article Views (full-text article views including HTML views, PDF and ePub downloads, according to the available data) and Abstracts Views on Vision4Press platform.
Data correspond to usage on the plateform after 2015. The current usage metrics is available 48-96 hours after online publication and is updated daily on week days.
Initial download of the metrics may take a while.