Open Access

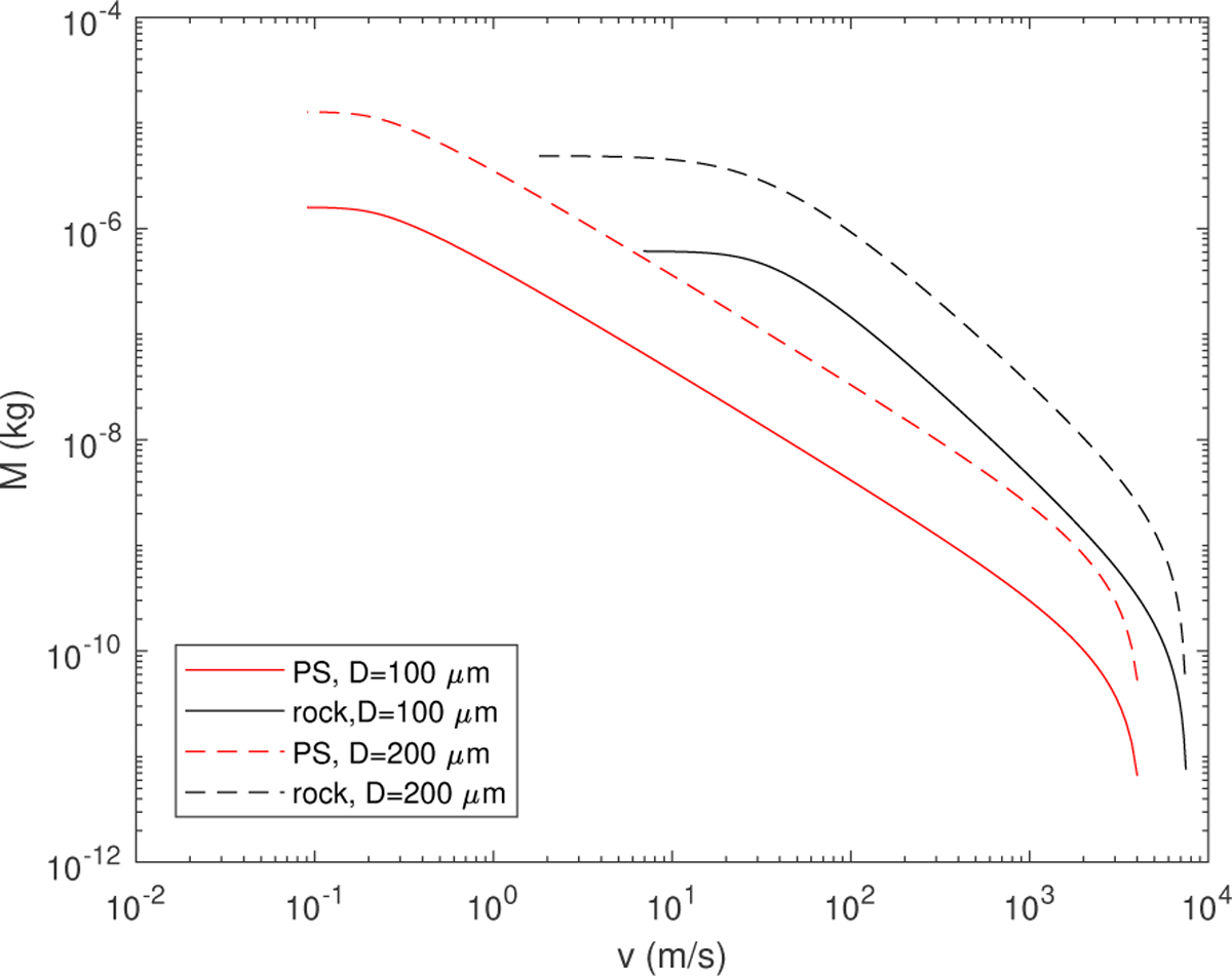
Fig. 11

image

Download original image

Mass of ejecta with velocities > υ for four individual micro-impact events, and the impact velocity is always 15 km/s. The two red lines show impacts on perlite–sand mixture (PS) with high porosity (ϕ = 0.6), and the black lines show impacts on rock. Spherical impactors with diameters of 100 µm and 200 µm are shown as solid and dashed lines, respectively.

Current usage metrics show cumulative count of Article Views (full-text article views including HTML views, PDF and ePub downloads, according to the available data) and Abstracts Views on Vision4Press platform.

Data correspond to usage on the plateform after 2015. The current usage metrics is available 48-96 hours after online publication and is updated daily on week days.

Initial download of the metrics may take a while.