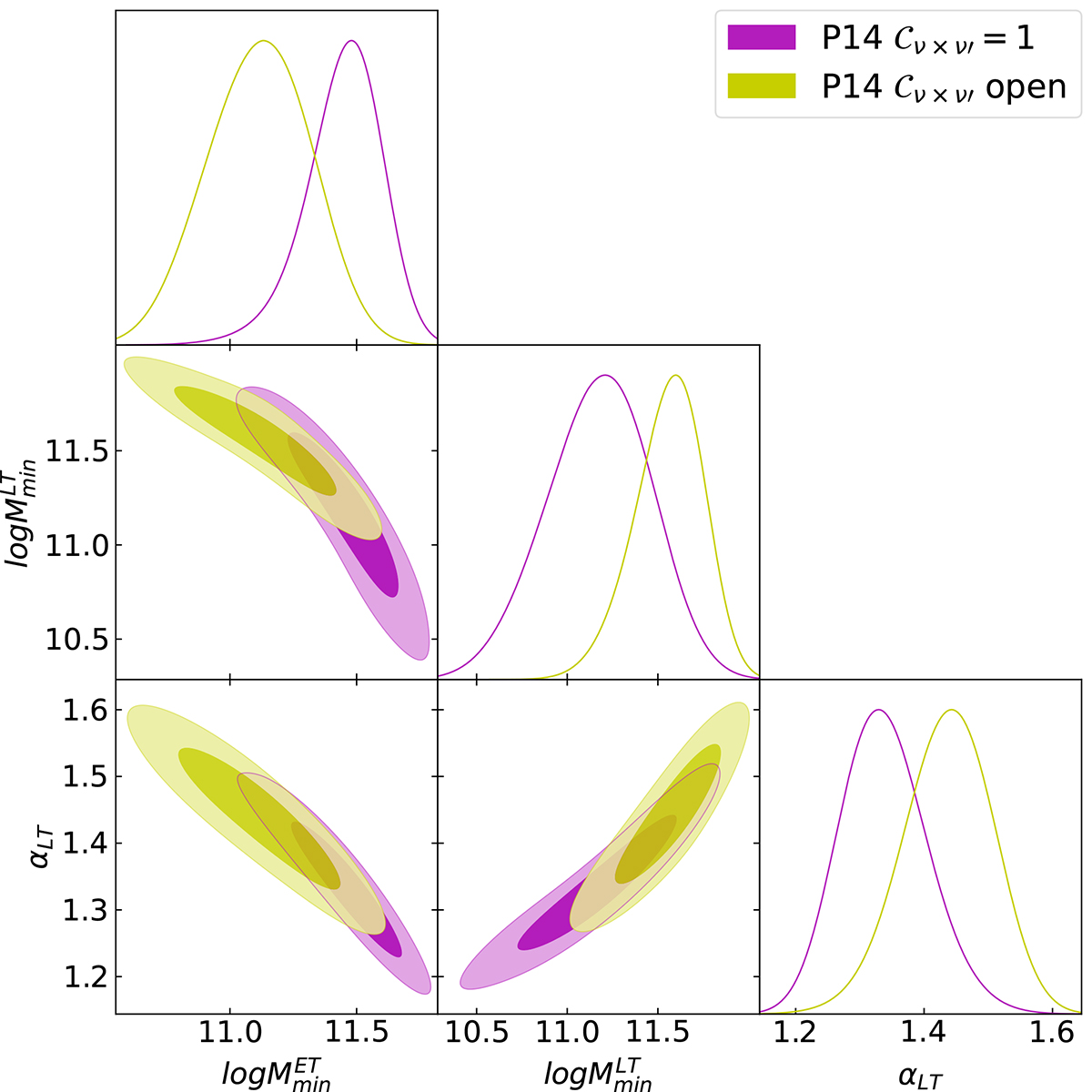
Fig. 4.

Download original image
Posterior probability distributions of the clustering parameters for the two scenarios where the correlations for the shot noise are fixed to unity (in purple) and where they are free parameters in the fit (in green). The posterior distributions for the two cases are in agreement, exploring the same regions of the parameter space. We fix .
Current usage metrics show cumulative count of Article Views (full-text article views including HTML views, PDF and ePub downloads, according to the available data) and Abstracts Views on Vision4Press platform.
Data correspond to usage on the plateform after 2015. The current usage metrics is available 48-96 hours after online publication and is updated daily on week days.
Initial download of the metrics may take a while.