Fig. 3

Download original image
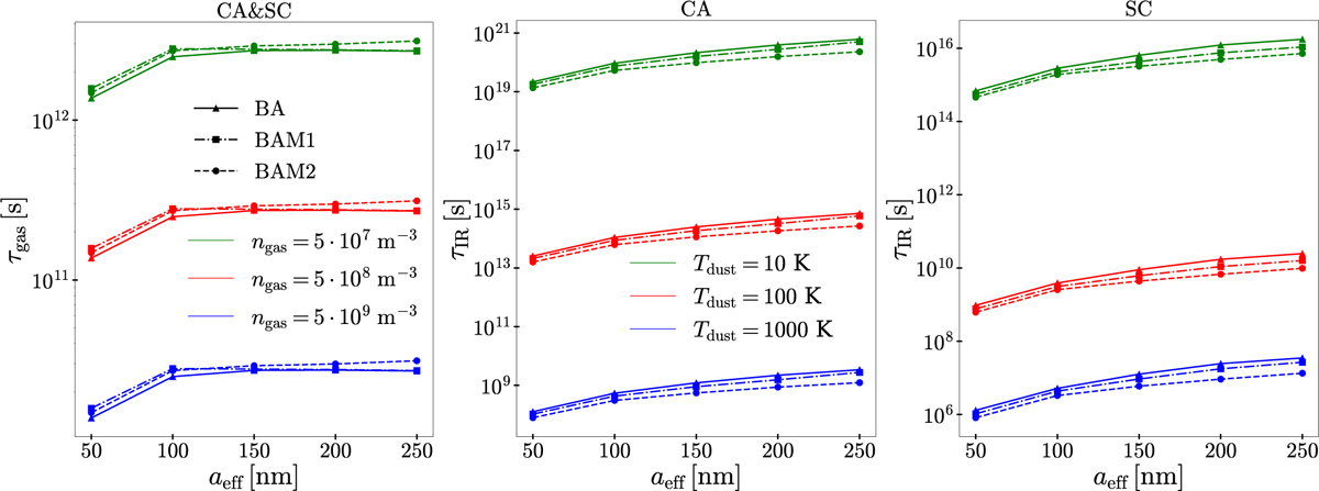
Drag timescales over the effective radius aeff dependent on the grain model (BA, BAM1, or BAM2). Left panel: gas drag timescale for different gas densities ngas for all grain materials. The gas temperature is at a constant value of Tgas = 100 K. Center panel: IR drag timescale for the CA grain material for different dust temperatures Tdust. Right panel: same as the center panel, but for the SC grain material.
Current usage metrics show cumulative count of Article Views (full-text article views including HTML views, PDF and ePub downloads, according to the available data) and Abstracts Views on Vision4Press platform.
Data correspond to usage on the plateform after 2015. The current usage metrics is available 48-96 hours after online publication and is updated daily on week days.
Initial download of the metrics may take a while.