Open Access
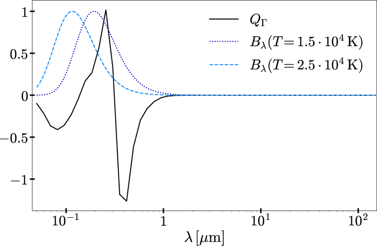
Fig. 4

Download original image
Torque efficiency QΓ as a function of wavelength λ for an exemplary CA BA grain of size aeff = 200 nm. The spectra of the two stellar sources S1 and S2 are shown in blue, normalized by their maximum value. We emphasize that this particular grain has two changes in sign, resulting in a reduced net torque over wavelengths.
Current usage metrics show cumulative count of Article Views (full-text article views including HTML views, PDF and ePub downloads, according to the available data) and Abstracts Views on Vision4Press platform.
Data correspond to usage on the plateform after 2015. The current usage metrics is available 48-96 hours after online publication and is updated daily on week days.
Initial download of the metrics may take a while.