Fig. 5

Download original image
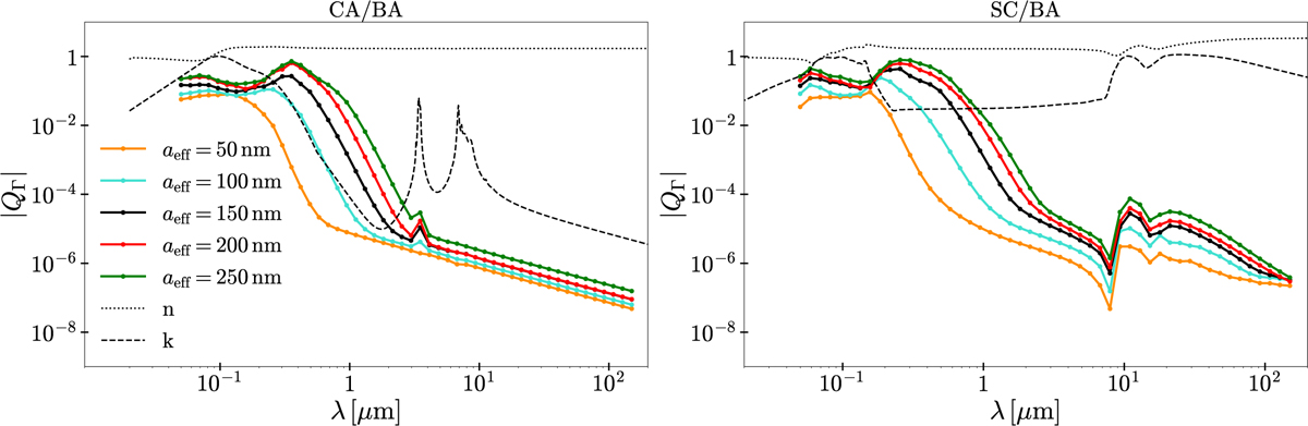
Average torque efficiency |QΓ| over wavelengths for CA (left) and SC (right) BA aggregates of different grain sizes aeff (color-coded) in comparison with the real part n (dotted line) and imaginary part k (dashed line) of the corresponding refractive indices. We note that the characteristic features of QΓ follow the shape of k.
Current usage metrics show cumulative count of Article Views (full-text article views including HTML views, PDF and ePub downloads, according to the available data) and Abstracts Views on Vision4Press platform.
Data correspond to usage on the plateform after 2015. The current usage metrics is available 48-96 hours after online publication and is updated daily on week days.
Initial download of the metrics may take a while.