Open Access
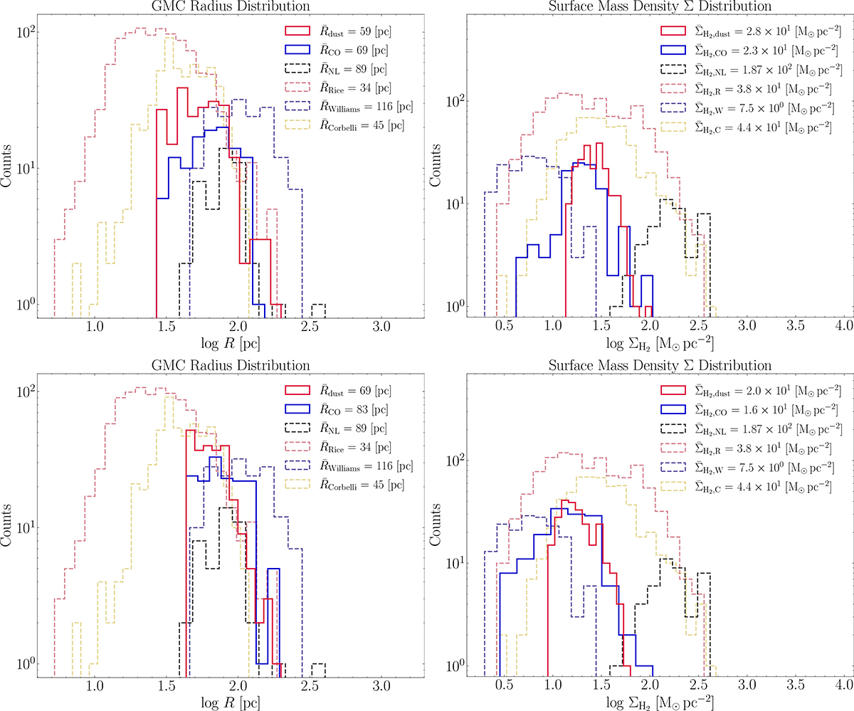
Fig. C.1.

Download original image
Distributions of GMC properties with varying Dendrogram parameters. The upper panels show histograms of radius and surface mass density with a min_value of 5σ. The lower panels display the same properties for a beam factor of 1.5.
Current usage metrics show cumulative count of Article Views (full-text article views including HTML views, PDF and ePub downloads, according to the available data) and Abstracts Views on Vision4Press platform.
Data correspond to usage on the plateform after 2015. The current usage metrics is available 48-96 hours after online publication and is updated daily on week days.
Initial download of the metrics may take a while.