Open Access
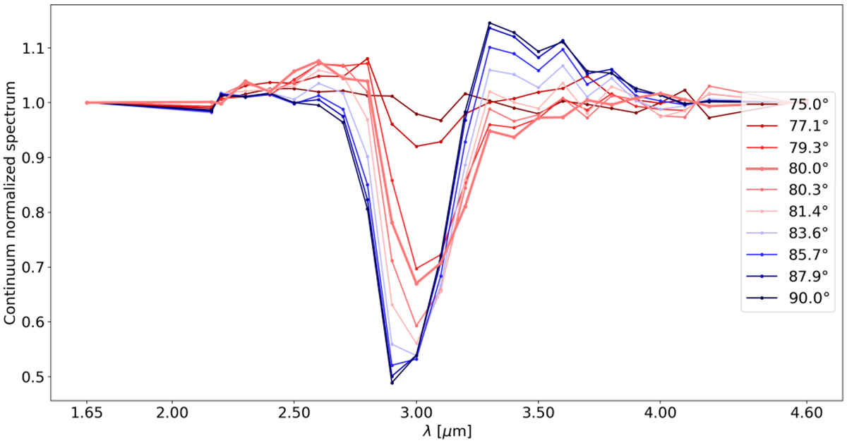
Fig. 5

Download original image
Continuum-normalized synthetic model spectra centered around the water-ice band as a function of inclination. We only present every other inclination for clarity. The spectrum at 80° represents our best model of PDS 453.
Current usage metrics show cumulative count of Article Views (full-text article views including HTML views, PDF and ePub downloads, according to the available data) and Abstracts Views on Vision4Press platform.
Data correspond to usage on the plateform after 2015. The current usage metrics is available 48-96 hours after online publication and is updated daily on week days.
Initial download of the metrics may take a while.