Fig. 15

Download original image
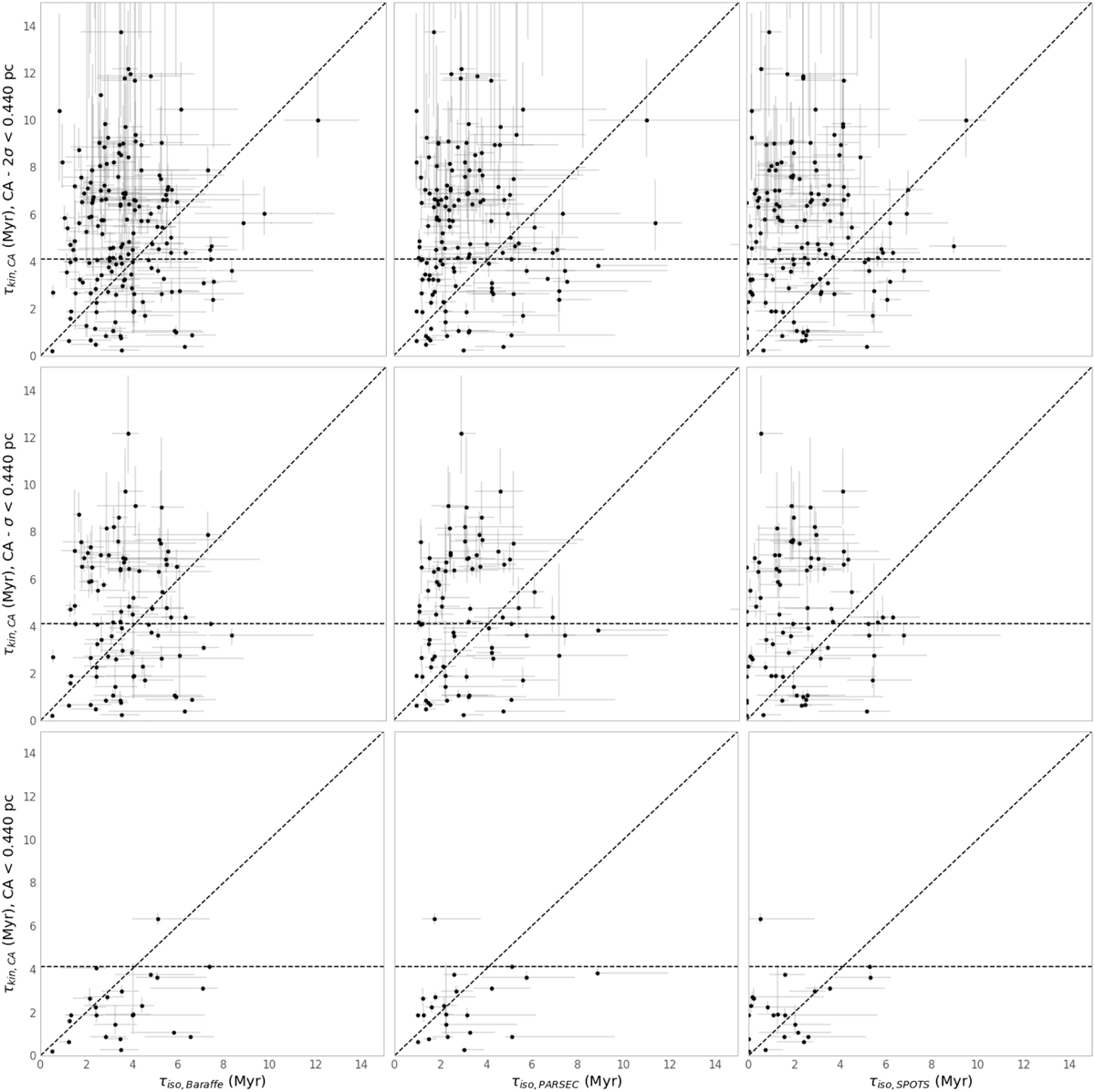
Isochronal ages versus plane-of-sky traceback age for λ Ori members whose plane-of-sky motion traces back to < rc pc (black) or <1 pc (grey) of the centre of the cluster and whose plane-of-sky position-velocity angle (Δθ) is within 45°. Isochronal ages are estimated using G − RP colour (right colour), compared to Baraffe et al. (2015); Marigo et al. (2017); Somers et al. (2020) stellar evolution models (top to bottom rows respectively) with correction for extinction and reddening.
Current usage metrics show cumulative count of Article Views (full-text article views including HTML views, PDF and ePub downloads, according to the available data) and Abstracts Views on Vision4Press platform.
Data correspond to usage on the plateform after 2015. The current usage metrics is available 48-96 hours after online publication and is updated daily on week days.
Initial download of the metrics may take a while.