Open Access
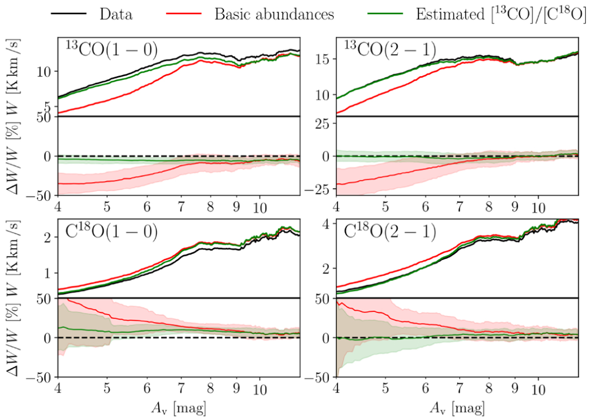
Fig. 7

Download original image
Comparison of the reconstruction of the 13CO and C18O line integrated intensities for the sandwich model fit obtained with either a fixed relative abundance of [13CO]/[C18O] (in red) or an estimated relative abundance of this ratio (in green). The figure layout is similar to Fig. 5.
Current usage metrics show cumulative count of Article Views (full-text article views including HTML views, PDF and ePub downloads, according to the available data) and Abstracts Views on Vision4Press platform.
Data correspond to usage on the plateform after 2015. The current usage metrics is available 48-96 hours after online publication and is updated daily on week days.
Initial download of the metrics may take a while.