Open Access
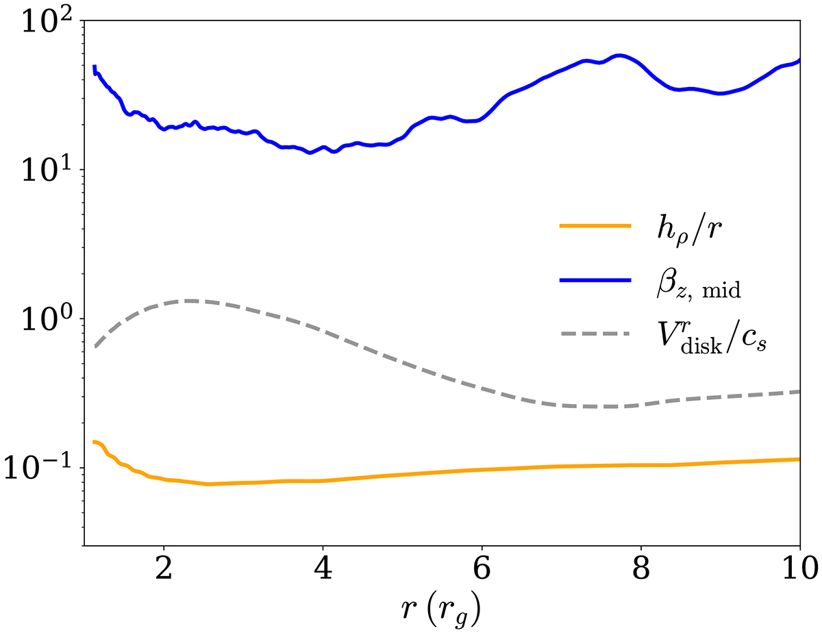
Fig. 1.

Download original image
Radial profiles of the geometrical density scale height (solid gold line), the βz, mid in the midplane (solid blue line) and the density-weighted radial three-vector velocity normalized by the sound speed (dashed gray line). The density scale height and the radial speed exceed expectations from standard theory.
Current usage metrics show cumulative count of Article Views (full-text article views including HTML views, PDF and ePub downloads, according to the available data) and Abstracts Views on Vision4Press platform.
Data correspond to usage on the plateform after 2015. The current usage metrics is available 48-96 hours after online publication and is updated daily on week days.
Initial download of the metrics may take a while.