Open Access
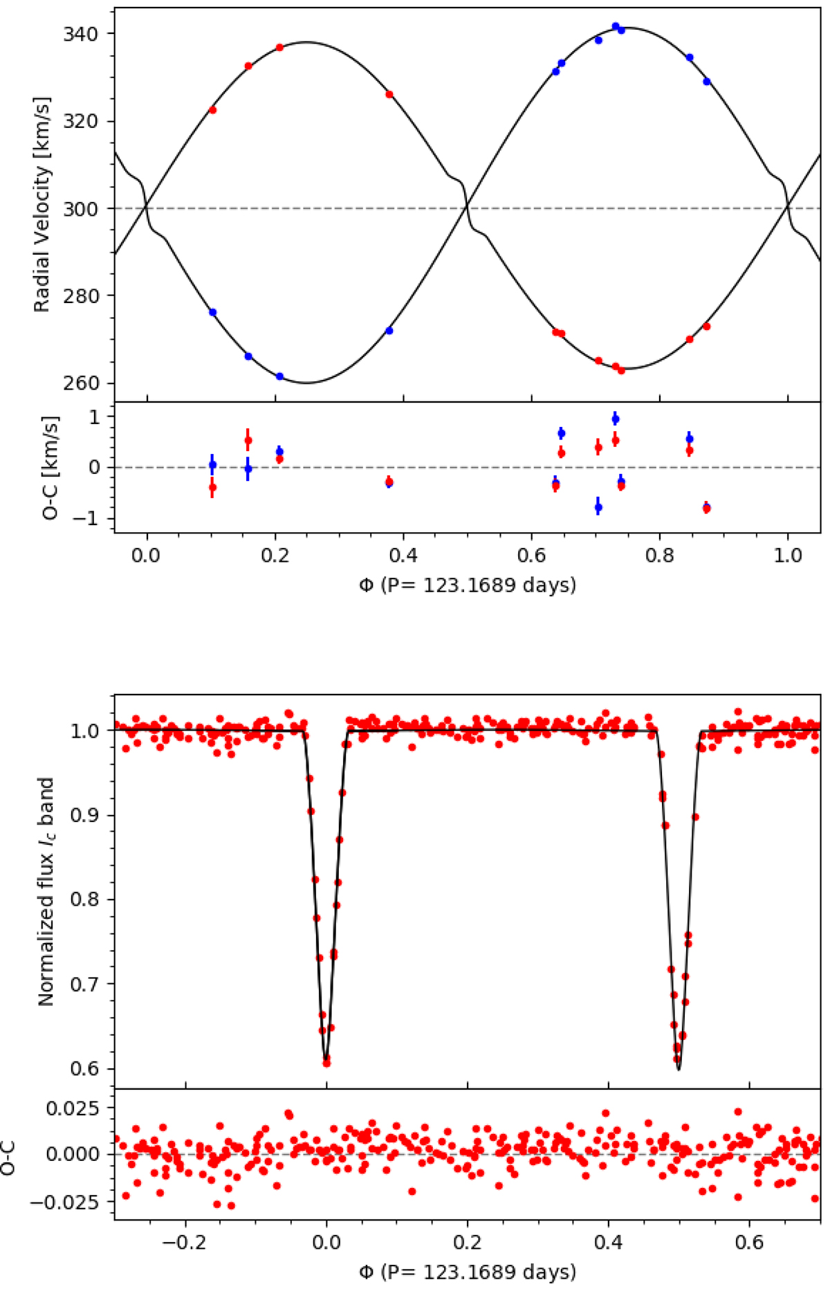
Fig. 3.

Download original image
Radial velocity data and their binary solution (upper panel), and the photometric light curve with its solution (lower panel) obtained with the WD code for system LMC29293. The smaller lower panel shows the residuals of our adopted solutions.
Current usage metrics show cumulative count of Article Views (full-text article views including HTML views, PDF and ePub downloads, according to the available data) and Abstracts Views on Vision4Press platform.
Data correspond to usage on the plateform after 2015. The current usage metrics is available 48-96 hours after online publication and is updated daily on week days.
Initial download of the metrics may take a while.