Open Access
Fig. 5

Download original image
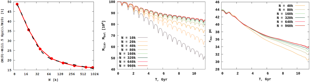
Ret-II tidal mass and half-mass radius evolution for different models with different particle numbers. Left panel: global mass loss (red) in percent for different particle numbers. The dashed black line represents the exponential fitting of the mass-loss data for different N.
Current usage metrics show cumulative count of Article Views (full-text article views including HTML views, PDF and ePub downloads, according to the available data) and Abstracts Views on Vision4Press platform.
Data correspond to usage on the plateform after 2015. The current usage metrics is available 48-96 hours after online publication and is updated daily on week days.
Initial download of the metrics may take a while.