Open Access

Fig. 7.

image

Download original image

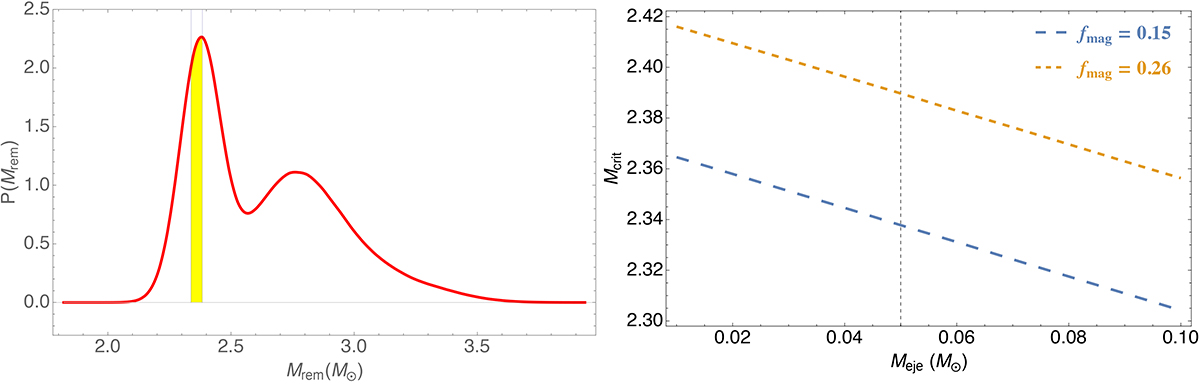
The mass probability distribution of merger remnants (left panel) and the range of Mcrit as a function of the adopted value for the ejecta mass, Mej (right panel). The mass distribution of merger remnants is obtained by assuming (i) a double-peaked Gaussian mass distribution for binary NS components, with one peak at μ1 = 1.34 M (σ1 = 0.07 M) and one at μ2 = 1.8 M (σ2 = 0.21 M), (ii) a quasi-EOS-independent relation between gravitational and baryonic mass (Eq. (5)), and (iii) a fiducial ejecta mass of ∼0.05 M. The yellow-shaded area indicates the Mrem range for which the cumulative distribution function yields a probability of ∼0.15–0.26 (i.e. our fmag range). It defines our estimated range for Mcrit, that is the maximum mass of NS remnants that remain stable or do not collapse into a BH for at least a time long enough to power plateaus lasting > 200 s, such as those found in our sample.

Current usage metrics show cumulative count of Article Views (full-text article views including HTML views, PDF and ePub downloads, according to the available data) and Abstracts Views on Vision4Press platform.

Data correspond to usage on the plateform after 2015. The current usage metrics is available 48-96 hours after online publication and is updated daily on week days.

Initial download of the metrics may take a while.