Fig. 2.

Download original image
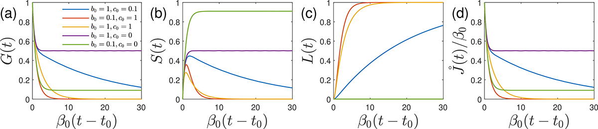
(a) Gas (G), (b) stars (S), and (c) locked-in matter (L) compartments as well as (d) the formation rate of new stars in the course of time t, at zero star formation from the interaction between gas and stars, a(t) = 0. We show five choices for b0 and c0, while β0 = 1 and η = 10−5. The numerical solution of Eqs. (7)–(9) coincides exactly with the analytical solution provided by Eqs. (19)–(21), and (24).
Current usage metrics show cumulative count of Article Views (full-text article views including HTML views, PDF and ePub downloads, according to the available data) and Abstracts Views on Vision4Press platform.
Data correspond to usage on the plateform after 2015. The current usage metrics is available 48-96 hours after online publication and is updated daily on week days.
Initial download of the metrics may take a while.